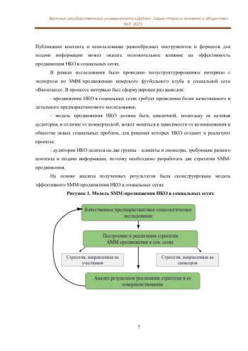
В условиях ограниченных возможностей государства в реализации социальных проектов и удовлетворения нематериальных потребностей граждан, все более возрастает роль некоммерческих организаций (далее - НКО), деятельность которых сопряжена с решением социальных проблем и развитием гражданского общества. Однако в условиях цифровой социокультурной реальности НКО сталкиваются с барьерами, препятствующими их продвижению. В статье представлены результаты эмпирического исследования SMM-продвижения НКО в городе Кимры в социальной сети «Вконтакте». На основании результатов проведенного исследования сконструирована модель SMM-продвижения НКО, с учетом их особенностей, которая может способствовать использованию современных методов цифрового пространства, таких как контент, таргетированная реклама, реклама лидеров мнений для повышения потенциала НКО в социальной сфере.
Идентификаторы и классификаторы
- УДК
- 316. Социология
Приходит понимание того, что для адаптации к изменяющейся социальной реальности необходимо провести целый комплекс взаимодополняющих мероприятий, среди которых создание прозрачных и стабильных правил осуществления социальноэкономической деятельности, а также рост производительности, потока инноваций, снижение рисков, увеличение стимулов. Улучшение социально-экономического климата в стране – необходимое условие для развития и укрепления различных социальных институтов, среди которых особым образом выделяются НКО, которые «не просто партнер государства при решении социальных проблем, но и активный актор на рынке социальных услуг, способный зачастую более эффективно выполнять государственные задачи» [8, с. 79].
Список литературы
1. Андреев С. Н. Маркетинг некоммерческих субъектов: дис.. докт. экон. наук. М.: МИНХ им. Г. В. Плеханова, 2015. 183 с.
2. Вишнева К. В. Цифровая трансформация некоммерческих организаций: проблемы и направления развития // Международный научно-исследовательский журнал. № 4 (106). 2021. С. 152-155. EDN: MRDGLO
3. Иванова О. А. Некоммерческие организации в современном Российском регионе: дис.. канд. соц. наук. Барнаул: Алтайский государственный университет, 2017. 193 с.
4. Кулькова В. Ю. Цифровая эволюция социально ориентированных некоммерческих организаций в условиях COVID-19 // Общественные науки и современность. 2021. № 3. С. 88-100. EDN: YCOTMC
5. Москалев М. В. Эффективная маркетинговая деятельность некоммерческих организаций / М. В. Москалев, С. М. Москалев // Известия СПбГАУ. 2017. № 4. С. 127-133. EDN: YOKARA
6. Нестеренко Н. С. Некоммерческие организации в трансформирующемся Российском обществе: социологический анализ: дис..канд. соц. наук. М.: Изд-во РГСУ, 2007. 178 с. EDN: NOQPLF
7. Рользинг А. В. Продвижение некоммерческих организаций с помощью инструментов digital-маркетинга / А. В. Рользинг, Е. В. Ковалева // Молодой ученый. 2021. № 51(393). С. 143-147. EDN: TFEFRT
8. Смирнов В. А. Эффективность грантовой поддержки российских социально ориентированных некоммерческих организаций (на примере Фонда президентских грантов) // Социологические исследования 2020. № 9. С. 79-89. EDN: BEJIBE
9. Klingner D. Non-Governmental Organizations. University of Colorado: Colorado Springs. 2021. 146 p.
Выпуск
Другие статьи выпуска
В статье рассматриваются возможности и риски цифровизации на примере поведенческих практик пожилых людей. Цифровизация стала неотъемлемой составляющей современного общества, превратившись из модного тренда в важную составляющую полноценной социальной жизни. Не остались в стороне от этого процесса и люди пожилого возраста. В повседневной жизни они сталкиваются с неизбежностью цифровых технологий, испытывая потребность в цифровой адаптации, в связи с чем перед разработчиками программного обеспечения возникает необходимость применения особых подходов для пользователей пожилого возраста.
В статье рассмотрены спорт и Олимпийские игры в качестве одних из ключевых инструментов дипломатии. Показано, как последствия влияния политики спровоцировали серьезные изменения в сфере спорта. Представлен анализ новых возможностей спортивной области в фокусе ее политического измерения. Спорт играет значительную роль на мировой арене и в вопросах взаимоотношений между государствами. В большинство сфер дипломатии спортивные игры внесли огромный вклад. С точки зрения политики, экономики и культуры спорт оказывается одним из главных образующих факторов благоприятной среды для налаживания международных связей в различных сферах деятельности.
Проблема зла, практически игнорируемая специалистами в области психического здоровья, достойна самого пристального внимания и изучения, поскольку стигматизация патологических личностей во многом обусловлена проблемой ответственности (или безответственности) личности за свою болезнь, которая может не принимать содержательной формы. Статья нацелена на прояснение соотношения между патологией личностного развития и проблемой зла. Посредством феноменологического анализа нравственное содержание психики описывается как зависимое или независимое от целого ряда жизненно значимых детерминант. Проводится сравнительное исследование психологических особенностей Homoabnormalis, Homonormalis и Homo moralis с точки зрения проблемы добра и зла. Описывается генезис психических заболеваний в виде последовательной цепочки причин и симптомов, рассматриваемых в свете антропософии.
В работе исследуется политический троллинг как активный и систематический метод распространения провокационной информации или дезинформации в политических целях с акцентом на его использовании в ходе избирательных кампаний. Политический троллинг способствует достижению наибольшего успеха в борьбе за власть, поскольку использование неформальных каналов коммуникации с аудиторией приводит к формированию специфической мифологической системы. В качестве теоретического фреймворка для исследования политического троллинга предложена теория общества спектакля Г. Дебора, позволяющая провести анализ процесса формирования на основе протестных настроений. Особое внимание уделяется действиям кандидатов в президенты, выступающих главными инициаторами политического троллинга.
В статье рассматривается одна из глобальных проблем цифровой среды - использование социальных технологий для манипулирования пользователями социальных сетей и Интернет-ресурсов. Главная причина возникновения этой проблемы заключается в том, что в условиях активного развития информационных технологий формируется информационная зависимость, касающаяся людей, участвующих в процессе производства, хранения и использования информации в ходе информационного взаимодействия. Оно порождает ряд социальных трансформаций, формируя новые виды рисков, вызовов и угроз, таких как информационные войны, информационное оружие, информационный терроризм, информационная преступность, изменяя и социальные технологии воздействия на пользователей сети Интернет. Все это обусловливает актуальность исследования отношения населения к социальным технологиям манипулирования пользователями цифровой среды для выявления причин их уязвимости перед кибератаками.
В статье рассмотрена цифровизация как актуальное направление развития современного общества, науки, техники и иных областей человеческого знания. Уточнены понятия цифровизации, цифровизации образования, цифровых технологии обучения. Описана структура цифровизации высшего образования, ее особенности и риски в учебном процессе. Артикулированы новые требования на рынке труда, где резко возрастает потребность в инженерных кадрах, владеющих цифровыми компетенциями. В качестве примера применения цифровых технологий в учебном процессе и научной деятельности рассмотрен МГТУ им. Н. Э. Баумана. Представлены результаты социологического исследования отношения студентов к цифровым технологиям обучениям.
Инфраструктура современного общества функционирует посредством цифровых технологий, которые в значительной степени определяют социальное взаимодействие. В этой связи коммуникативной средой социальных акторов выступают цифровые платформы. Алгоритмы, лежащие в их основе - мощный инструмент управления в цифровой среде. В статье представлен критический анализ сложившихся представлений об алгоритмах. Автор затрагивает проблемы социальной власти алгоритмов, их манипулятивном характере и непрозрачности, детерминации социального опыта пользователей цифровых платформ.
Статистика статьи
Статистика просмотров за 2025 год.
Издательство
- Издательство
- ДУБНА
- Регион
- Россия, Дубна
- Почтовый адрес
- 141980 г.Дубна Московской обл., ул.Университетская, 19
- Юр. адрес
- 141980 г.Дубна Московской обл., ул.Университетская, 19
- ФИО
- Деникин Андрей Сергеевич (ИСПОЛНЯЮЩИЙ ОБЯЗАННОСТИ РЕКТОРА)
- E-mail адрес
- rector@uni-dubna.ru
- Контактный телефон
- +8 (496) 2166001