Статья: РАЗРАБОТКА ПАРАМЕТРОВ ЭКОЛОГИЧЕСКОГО МОНИТОРИНГА (НА ПРИМЕРЕ ТЕРРИТОРИЙ АЭРОДРОМОВ ГОСУДАРСТВЕННОЙ АВИАЦИИ) (2024)

Читать онлайн

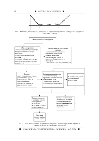
Данный материал охватывает вопросы совершенствования методов экологического контроля над состоянием атмосферы в непосредственной близости от аэропортовых комплексов. Чистый атмосферный воздух представляет собой ключевую составляющую благополучия личного состава, задействованного в обеспечении авиационной деятельности на объектах гражданской авиации. Критерии оценки атмосферного воздуха охватывают спектр параметров, которые напрямую подвержены влиянию атмосферных условий, причем их изменения зачастую диктуются характеристиками воздушных потоков, складывающимися в зонах активности источников загрязнения. Из-за повышенной интенсивности полетов наблюдается эмиссия множества вредных элементов, чьим источником служат в основном самолеты, объекты инфраструктуры и автотранспорт, что приводит к негативному воздействию на объекты окружающей среды. Среди выбрасываемых вредных примесей находятся такие химические соединения, как этилен, формальдегид, этил, ацетон, бутен, метан, различные углеводороды, а также оксиды углерода, азота и серы, которые представляют угрозу для здоровья людей. Актуальность исследования обусловлена недостаточной изученностью распространения токсикантов атмосферным воздухом с учетом рельефа местности, типа подстилающей поверхности и геометрии форм зданий и сооружений. Целью исследования является повышение качества экологического мониторинга путем учета дополнительных параметров распространения вредных примесей на приаэродромных территориях. При этом учитывались застройки различной плотности, физико-географические и климатические условия, а также особенности эксплуатации аэродрома. В статье представлены открытые для опубликования результаты экологического мониторинга приаэродромной территории типичного аэродрома государственной авиации. Отбор и анализ проб проводился сертифицированным центром лаборатории ФБУЗ центра гигиены и эпидемиологии. Рассчитана общая масса выбросов вредных примесей в приземном слое атмосферы от воздушных судов за год при работе основных типов авиационных двигателей. Выделены наиболее экологически опасные зоны с повышенной концентрацией вредных примесей, с учетом которых рекомендуется располагать посты экологического мониторинга. Рассчитанные данные подтверждены экспериментальными исследованиями.

Ключевые фразы: аэродром, вредные примеси, ЭКОЛОГИЧЕСКИЙ РИСК, загрязняющие вещества
Автор (ы): Маленёв А. И.
Журнал: УСПЕХИ СОВРЕМЕННОГО ЕСТЕСТВОЗНАНИЯ

Предпросмотр статьи

Идентификаторы и классификаторы

УДК
504.06. Охрана окружающей среды. Управление качеством окружающей среды .
910. Общие вопросы. География как наука. Страноведение. Географические исследования. Путешествия
Для цитирования:
МАЛЕНЁВ А. И. РАЗРАБОТКА ПАРАМЕТРОВ ЭКОЛОГИЧЕСКОГО МОНИТОРИНГА (НА ПРИМЕРЕ ТЕРРИТОРИЙ АЭРОДРОМОВ ГОСУДАРСТВЕННОЙ АВИАЦИИ) // УСПЕХИ СОВРЕМЕННОГО ЕСТЕСТВОЗНАНИЯ. 2024. № 5
Текстовый фрагмент статьи