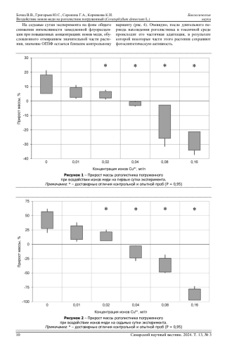
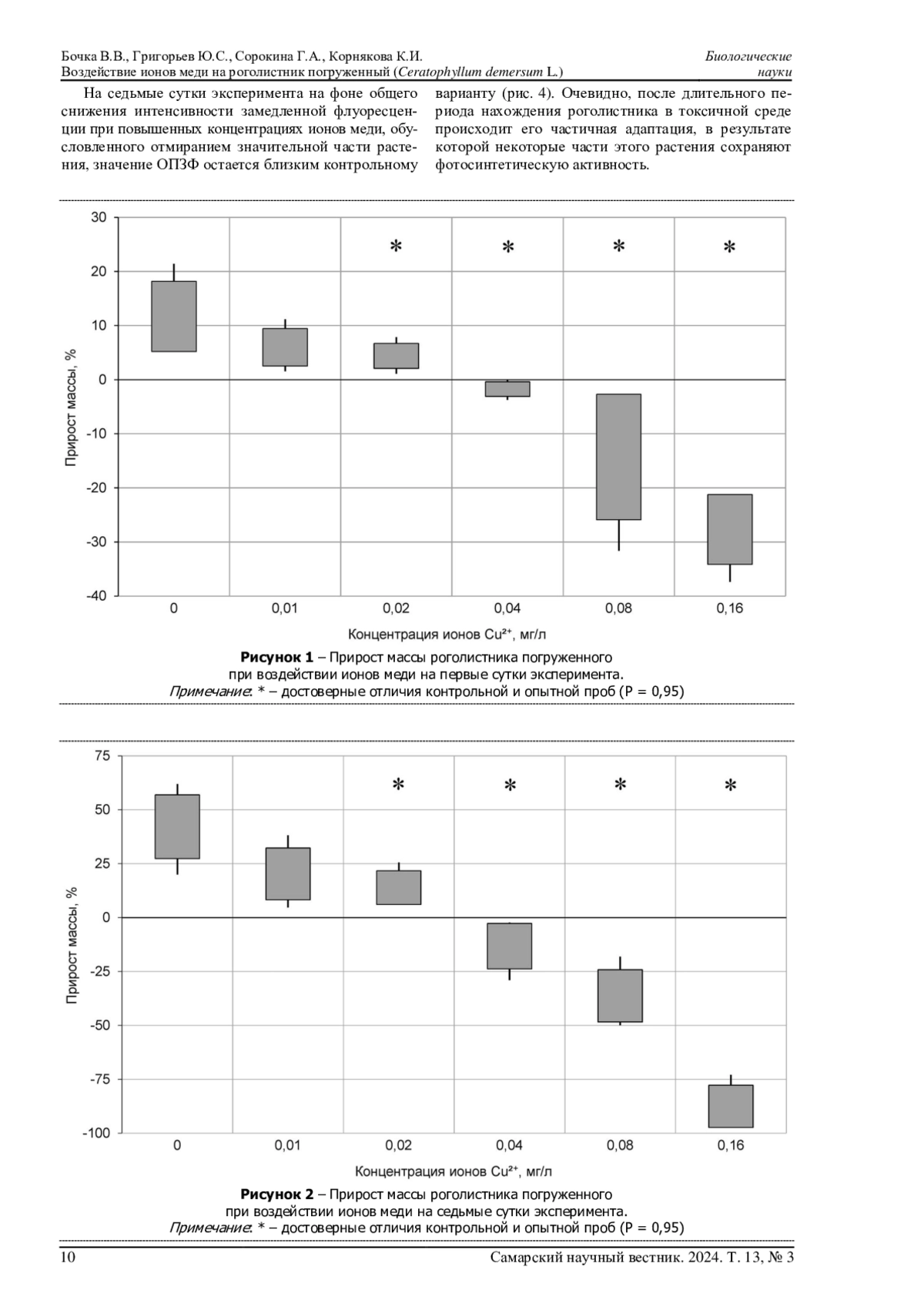
В данной статье представлены результаты исследования влияния ионов меди в концентрациях 0,01-0,16 мг/дм³ в лабораторных условиях на устойчивость высшего водного растения - роголистника погруженного. Несмотря на то, что медь является биофильным элементом, все изученные концентрации ионов данного элемента оказали негативное воздействие на прирост массы растений и величину относительного параметра замедленной флуоресценции хлорофилла (ОПЗФ) уже на первые сутки экспонирования. В течение семисуточного токсикологического эксперимента подавление роста растений при воздействии токсиканта усиливалось. Наибольшее снижение ОПЗФ по сравнению с контролем во всех исследованных концентрациях ионов меди наблюдается на первые сутки эксперимента. Однако после длительного периода нахождения роголистника в токсичной среде происходит его частичная адаптация, в результате которой некоторые части этого растения сохраняют фотосинтетическую активность. Установлено, что растения сохраняют свою жизнеспособность до концентрации 0,02 мг/дм³, соответствующей 20 ПДК в водах объектов рыбохозяйственного значения. Концентрации 0,04 мг/дм³ и выше уже на первые сутки привели к потере листьев. Устойчивость растения к действию ионов меди позволяет рассматривать его как потенциальный фиторемедиант вод, загрязненных соединениями данного элемента.
Идентификаторы и классификаторы
- SCI
- Биология
Загрязнение водной среды соединениями тяжелых металлов приводит к негативным последствиям для живых организмов, в том числе и для человека [1].
Список литературы
1. Галиулин Р.В., Галиулина Р.А., Кочуров Б.И. Аккумуляция тяжелых металлов водными растениями при техногенезе // Теоретическая и прикладная экология. 2013. № 2. С. 81-85. EDN: QZFFRB
2. Титов А.Ф., Таланова В.В., Казнина Н.М., Лайдинен Г.Ф. Устойчивость растений к тяжелым металлам / отв. ред. Н.Н. Немова. Петрозаводск: Карельский научный центр РАН, 2007. 172 с. EDN: QKQKGB
3. Shabbir Z., Sardar A., Shabbir A., Abbas G., Shamshad S., Khalid S., Murtaza G., Dumat C., Shahid M. Copper uptake, essentiality, toxicity, detoxification and risk assessment in soil-plant environment // Chemosphere. 2020. Vol. 259. DOI: 10.1016/j.chemosphere.2020.127436 EDN: KRRDTV
4. Ali H., Khan E., Sajad M.A. Phytoremediation of heavy metals - concepts and applications // Chemosphere. 2013. Vol. 91, iss. 7. P. 869-881. DOI: 10.1016/j.chemosphere.2013.01.075
5. Об утверждении нормативов качества воды водных объектов рыбохозяйственного значения, в том числе нормативов предельно допустимых концентраций вредных веществ в водах водных объектов рыбохозяйственного значения [Электронный ресурс] // Гарант.ру. https://base.garant.ru/71586774.
6. Государственный доклад “О состоянии и охране окружающей среды в Красноярском крае в 2023 году”. Красноярск, 2024. 386 с.
7. Garcia L., Welchen E., Gonzalez D.H. Mitochondria and copper homeostasis in plants // Mitochondrion. 2014. Vol. 19, part B. P. 269-274. DOI: 10.1016/j.mito.2014.02.011
8. Printz B., Lutts S., Hausman J.-F., Sergeant K. Copper trafficking in plants and its implication on cell wall dynamics // Frontiers in Plant Science. 2016. Vol. 7. DOI: 10.3389/fpls.2016.00601
9. Thomas G., Stärk H.-J., Wellenreuther G., Dickinson B.C., Küpper H. Effects of nanomolar copper on water plants - comparison of biochemical and biophysical mechanisms of deficiency and sublethal toxicity under environmentally relevant conditions // Aquatic Toxicology. 2013. Vol. 140-141. P. 27-36. DOI: 10.1016/j.aquatox.2013.05.008
10. Constabel C.P., Barbehenn R. Defensive roles of polyphenol oxidase in plants // Induced Plant Resistance to Herbivory. Dordrecht: Springer, 2008. P. 253-270. DOI: 10.1007/978-1-4020-8182-8_12
11. Tavladoraki P., Cona A., Angelini R. Copper-containing amine oxidases and FAD-dependent polyamine oxidases are key players in plant tissue differentiation and organ development // Frontiers in Plant Science. 2016. Vol. 7. DOI: 10.3389/fpls.2016.00824 EDN: WOMELV
12. Krayem M., El Khatib S., Hassan Y., Deluchat V., Labrousse P. In search for potential biomarkers of copper stress in aquatic plants // Aquatic toxicology. 2021. Vol. 239. DOI: 10.1016/j.aquatox.2021.105952 EDN: CYTWUP
13. Волков К.С., Иванова Е.М., Великсар С.Г., Куликова А.Л., Кузнецова Н.А., Холодова В.П., Кузнецов В.В. Возможности использования растений различных семейств в целях фиторемедиации загрязненных медью территорий // Проблемы региональной экологии. 2013. № 1. С. 97-101. EDN: PZNIPX
14. Küpper H., Šetlík I., Spiller M., Küpper F.C., Prášil O. Heavy metal-induced inhibition of photosynthesis: targets of in vivo heavy metal chlorophyll formation // Journal of Phycology. 2002. Vol. 38, iss. 3. P. 429-441. DOI: 10.1046/j.1529-8817.2002.01148.x EDN: VQSMHB
15. Rehman A.U., Nazir S., Irshad R., Tahir K., Rehman K.U., Islam R.U., Wahab Z. Toxicity of heavy metals in plants and animals and their uptake by magnetic iron oxide nanoparticles // Journal of Molecular Liquids. 2021. Vol. 321. DOI: 10.1016/j.molliq.2020.114455 EDN: BJQLLJ
16. Rai S., Singh P.K., Mankotia S., Swain J., Satbhai S.B. Iron homeostasis in plants and its crosstalk with copper, zinc, and manganese // Plant Stress. 2021. Vol. 1. DOI: 10.1016/j.stress.2021.100008 EDN: CVRMZT
17. Thomas G., Andresen E., Mattusch J., Hubácek T., Küpper H. Deficiency and toxicity of nanomolar copper in low irradiance - a physiological and metalloproteomic study in the aquatic plant Ceratophyllum demersum // Aquatic Toxicology. 2016. Vol. 177. P. 226-236. DOI: 10.1016/j.aquatox.2016.05.016
18. Prasad M.N.V. Aquatic plants for phytotechnology // Environmental Bioremediation Technologies. Berlin-Heidelberg: Springer, 2007. P. 259-274. DOI: 10.1007/978-3-540-34793-4_11
19. Kafle A., Timilsina A., Gautam A., Adhikari K., Bhattarai A., Aryal N. Phytoremediation: mechanisms, plant selection and enhancement by natural and synthetic agents // Environmental Advances. 2022. Vol. 8. DOI: 10.1016/j.envadv.2022.100203 EDN: ROJLFP
20. Matache M.L., Marin C., Rozylowicz L., Tudorache A. Plants accumulating heavy metals in the Danube River wetlands // Journal of Environmental Health Science and Engineering. 2013. Vol. 11. DOI: 10.1186/2052-336x-11-39 EDN: YDQRHN
21. Parnian A., Chorom M., Jaafarzadeh N., Dinarvand M. Use of two aquatic macrophytes for the removal of heavy metals from synthetic medium // Ecohydrology & Hydrobiology. 2016. Vol. 16, iss. 3. P. 194-200. DOI: 10.1016/j.ecohyd.2016.07.001
22. Kastratović V., Krivokapić S., Bigović M., Đurović D., Blagojević N. Bioaccumulation and translocation of heavy metals by Ceratophyllum demersum from the Skadar Lake, Montenegro // Journal of the Serbian Chemical Society. 2014. Vol. 79, iss. 11. P. 1445-1460. DOI: 10.2298/jsc140409074k
23. Chorom M., Parnian A., Jaafarzadeh N. Nickel removal by the aquatic plant (Ceratophyllum demersum L.) // International Journal of Environmental Science and Development. 2012. Vol. 3, № 4. P. 372-375. DOI: 10.7763/ijesd.2012.v3.250
24. Губанов И.А., Киселева К.В., Новиков В.С., Тихомиров В.Н. Иллюстрированный определитель растений Средней России. Т. 1. Папоротники, хвощи, плауны, голосеменные, покрытосеменные (однодольные). М.: Т-во научных изданий КМК, Ин-т технологических исследований, 2002. 526 с.
25. Григорьев Ю.С., Стравинскене Е.С. Методика определения токсичности питьевых, природных и сточных вод, водных вытяжек из почв, осадков сточных вод и отходов по изменению относительного показателя замедленной флуоресценции культуры водоросли хлорелла (Chlorella vulgaris Beijer). ПНД Ф Т 14.1:2:4.16-2009. Т 16.1:2.3:3.14-2009. М.: Федеральный центр анализа и оценки техногенного воздействия, 2012. 43 с. EDN: ZRGEYN
26. Qadri H., Uqab B., Javeed O., Dar G.H., Bhat R.A. Ceratophyllum demersum - an accretion biotool for heavy metal remediation // Science of the Total Environment. 2022. Vol. 806, part 2. DOI: 10.1016/j.scitotenv.2021.150548 EDN: AIHADA
27. Титов А.Ф., Казнина Н.М., Таланова В.В. Тяжелые металлы и растения. Петрозаводск: Карельский научный центр РАН, 2014. 194 с. EDN: UAJSQV
Выпуск
Другие статьи выпуска
В интенсификации отрасли садоводства главная роль отводится клоновым слаборослым подвоям. Зеленое черенкование является основным методом размножения клоновых подвоев косточковых культур. Основой технологии зеленого черенкования является биологическая способность растений к регенерации. Технология укоренения зеленых черенков основывается на выращивании целых растений из облиственных стеблевых черенков за счет формирования новых придаточных корней. Исследования проводились в ГБУ СО НИИ «Жигулёвские сады» в период с 2021 по 2023 годы. Зеленые черенки подвойных форм высаживали в теплице площадью 18 м², с покрытием из сотового поликарбоната. Микроклимат в теплице поддерживался с помощью ультразвуковой туманообразующей установки, работающей ежедневно с 07:00 до 20:00. Объектом исследования были 10 клоновых подвойных форм для вишни и черешни, включая ВСЛ-2 [Вишня БС-2 ( P. frutikosa Pall.) × Л-2 ( P. lannesiana Wils.)], ЛЦ-52 (Любская × Церападус № 1), ЦШ-32 (Церападус № 1 × Ширпотреб черная), группы подвоев Логри (Вишне-черешня Калитвянка × Китайская черешня Карликовая ( P. pseudocerasus ) под следующими номерами: 61-72, 61-701, 61-70, 61-12, 61-740, 61-16, 61-718; 5 подвойных форм для сливы и абрикоса - Бест, Бест-2 (Микровишня низкая × Алыча ( M. besseyi × P. cerasifera ), ВВА-1 (Микровишня войлочная ( P. tomentosa Thunb.) × Алыча ( P. cerasifera Ehrh.), ВПК-1 [(Микровишня низкая × Слива карзинская ( M. besseyi × ( P. nigra × P. americana )] и Эврика 99 [Вишнеслива Сапа ( P. pumila L. × P. salicina Lindl) × алыча Отличница ( P. cerasifera Ehrh.)]. Для повышения процента укореняемости черенки предварительно обрабатывали стимуляторами корнеобразования. Черенки замачивали в водном растворе Корневина (0,6 г/л) или Гетероауксина (100 мг/л) на 16-18 часов перед посадкой для повышения укореняемости. Укоренение зеленых черенков клоновых подвоев плодовых культур осуществляли в теплице при температуре воздуха +30…+35°C, практически 100% относительной влажности воздуха и температуре почвы +25…+30°C. Зеленые черенки высаживали в теплице в субстрат по схеме 7 × 5 см на глубину 2-3 см. При такой схеме посадки на 1 м² высаживалось до 280 штук черенков. Оптимальный срок черенкования, обработка черенков стимуляторами корнеобразования, создание в теплице питательного субстрата с хорошими воднофизическими свойствами, бесперебойный режим туманообразующей установки, проведение листовых подкормок обеспечивали высокий выход, рост и развитие укорененных растений с единицы площади. Лучший результат укоренения зеленых черенков показали клоновые подвои вишни из семьи Логри (Лошадиная грива) - 61-72, 61-718, 61-740, 61-16 (соответственно 85,0%, 87,0%, 89,7% и 90,0%); сливы ВВА-1 - 80,0% и Бест-2 - 82,9%. Наименьший процент выхода укорененных растений был получен у подвоев вишни ЦШ-32 - 46,4%, подвоев сливы Эврика 99 - 57,1% и ВПК-1 - 31,6%.
Изучение распределения и численности обыкновенного бобра проведено на особо охраняемой природной территории регионального значения «Зеленая роща» (туристско-рекреационная местность) в Череповецком районе Вологодской области в 2021-2023 гг. Рассмотрены особенности бобровых поселений, их распределение, подсчитана численность бобров. Было отмечено 6 поселений обыкновенного бобра, плотность которых составила 0,14 поселений/км². Поселения расположены неравномерно на мелиоративных канавах, естественных водоемах, водоемах, созданных бобрами. Среднее количество бобров в одном поселении в «Зеленой роще» составило 3,2 ± 0,4 особей. За последнее десятилетие количество бобровых поселений на ООПТ «Зеленая роща» увеличилось с 2 до 5, при этом численность бобров возросла в 2-2,5 раза. При благоприятных условиях (достаточный запас кормовых ресурсов, не пересыхающие в летний период водоемы) количество бобровых поселений может достигать 12, плотность поселений обыкновенного бобра на ООПТ «Зеленая роща» при этом составит 0,3 поселения/км², что в 2 раза будет превышать среднюю плотность по России. В статье приведены описания бобровых поселений. Площадь поселений варьирует от 3,5 тыс. м² до 170 тыс. м². На мелиоративных канавах расположено 67% поселений, в 83% поселений построены хатки; 17% поселений не имеют нор; плотины построены в 67% бобровых поселений. Из древесно-кустарниковых растений в поселениях преобладают березы и ивы. В целом, территория ООПТ «Зеленая роща» благоприятна для проживания бобров.
В работе рассмотрены вопросы устойчивости насаждений дуба черешчатого в условиях изменяющегося климата Донбасса. Установлено, что общее состояние Quercus robur L. оценено на территории дендрария Донецкого ботанического сада (экспериментальных дубрав) как неудовлетворительное, с серьезными нарушениями в структуре дендроценоза, которые могут привести к деградации экотопа. Для остальных территорий состояние деревьев дуба черешчатого оценивается как хорошее. Растения, в том числе и деревья пирамидальной формы, проявляют высокую стойкость к антропогенным нагрузкам. Флуктуирующая асимметрия листовых пластин как показатель устойчивости растений коррелирует с состоянием древесных растений, а также имеются предпосылки к утверждению, что и со степенью повреждения листового аппарата дендрофильными насекомыми. В свою очередь, вредители влияют на стабильность развития дуба черешчатого в различных экотопах города Донецка. Установлено, что характерные повреждения дубовой широкоминирующей молью Acrocercops brongniardella (Fabricius, 1798) приводят к уменьшению полезной площади листа, что отражается на ухудшении фотосинтетической активности и показателе фотохимической эффективности (квантовый выход флуоресценции). Установлено, что уровень минимальной флуоресценции для листовых пластин без повреждения вредителями в среднем выше на 20,5% и отражает количество хлорофилла в вегетативном органе.
Были проведены исследования поступления пыльцы в атмосферу 11 видов злаков семейства Poaceae Barnh. (=Gramineae Juss.) и 5 видов осок семейства Cyperáceae Juss. Изученные растения произрастают в коллекции «Газонные и декоративные злаки» лаборатории интродукции декоративных растений Центрального сибирского ботанического сада Сибирского отделения Российской академии наук (ЦСБС СО РАН). Они активно используются как компоненты газонных культурфитоценозов и представляют группу декоративных злаков и осок. Будучи доминантами природных растительных сообществ, они образуют огромное количество пыльцы, которая является одним из основных источников аллергических болезней, вызывая сезонные поллинозы. Пыление, распространение и скорость переноса частиц зависит от состава пыльцы. Актуальность изучения этого вопроса привлекает не только аллергологов, но и ученых-ботаников. В результате работы исследован состав пыльцы злаковых и осоковых растений на наличие кластеров и определены доли кластеров и отдельных пыльцевых зерен от общего числа пыльцевых частиц, попадающих в атмосферу во время цветения растений. Наши исследования показали, что во всех проанализированных образцах присутствуют кластеры пыльцы. Экспериментальный анализ состава пыльцы злаков показал, что доля кластеров может варьироваться от 11,5% у Arrhenatherum elatius до 35,4% у Panicum capillare. При этом доля пыльцевых зерен у этих видов составляет соответственно от 28,2% до 67,6% от общего количества пыльцевых частиц (836; 1086). Что касается изученных видов осок, то здесь кластерный состав может изменяться от минимального значения в 28,6% у Carex vesicaria до максимального в 67,9% у Carex altaica. а доля пыльцевых зерен варьируется от 52,7% до 90,8% от всех пыльцевых частиц (760; 467).
Паразитиформные клещи рода Ixodes являются достаточно распространенной и обширной группой членистоногих. Известно, что иксодовые клещи вызывают особый интерес как переносчики и длительные хранители возбудителей различных природно-очаговых болезней: вируса клещевого энцефалита (ВКЭ), иксодового клещевого боррелиоза (ИКБ), туляремии, моноцитарного эрлихиоза человека и др. Еще в сороковые годы XX столетия уделялось пристальное внимание к изучению кровососущих членистоногих - иксодовых клещей в Среднем Поволжье. Результаты исследований, проведенных в регионе в конце XX - начале XXI в., выявили тенденцию к замещению одних видов другими и, как следствие, переселение и изменение границ ранее привычных ареалов. В акарифауне Республики Татарстан встречаются виды: Ixodes persulcatus Schulze, 1930; Ixodes ricinus Linnaeus, 1758; Dermacentor reticulatus Fabricius, 1794; Ixodes lividus Koch, 1844; Dermacentor marginatus Sulzer, 1776; Dermacentor silvarum Olenev, 1931; Dermacentor nuttalli Olenev, 1928; Ixodes trianguliceps Birula, 1895 и другие. Антропогенная трансформация естественных лесонасаждений динамично отражается на зоогеографии и распространении переносчиков природно-очаговых инфекций ( I. persulcatus, I. ricinus ). Происходят сложные преобразовательные процессы по замещению популяций таежного клеща I. persulcatus его конкурентоспособным экологически близким видом - лесным клещом I. ricinus. Это способствует эпидемической и эпизоотической валентности природных очагов.
Показано, что одной из проблем г. Оренбурга в настоящее время остается отчуждение земель под полигон ТКО, воздействие полигона на атмосферный воздух и подземные воды. Установлено, что для обеспечения экологической безопасности в г. Оренбурге организован раздельный сбор мусора в контейнеры. ТКО поступают на полигон от частных и многоэтажных жилых домов города, от муниципальных образований, входящих в состав города, от предприятий и организаций. На полигон ТКО вывозятся отходы контейнеров для мусора, на полигоне проводится сортировка поступающих отходов, переработка отходов не производится. Установлено, что в морфологическом составе поступающего мусора из контейнеров более 80% отходов составляют использованные полимерные материалы, стекло и бумага, которые в городе собираются раздельно в контейнеры, пищевые и разлагаемые органические материалы. Доля разлагаемых в окружающей среде органических материалов в ТКО составляет 40,5%, их раздельный сбор в городе не производится. Подсчитано, что для переработки образующихся ежегодно отходов потребуется 18 биогазовых установок КОБОС-1, одна установка по переработке стекла ТОСС, 4 установки по переработке пластика СТАНКО-2000, 5 установок по переработке макулатуры БДМ-3. Расчетами показано, что переработка ТКО после сортировки позволит получить 33974 т/год биогаза, 14541 т/год листового стекла, 22425,6 т/год изделий из пластика, 15330 т/год изделий из бумаги и сократить площадь отчуждаемых под полигон земель.
Издательство
- Издательство
- СГСПУ
- Регион
- Россия, Самара
- Почтовый адрес
- 443099, Самарская область, город Самара, ул. Максима Горького, д.65/67
- Юр. адрес
- 443099, Самарская область, город Самара, ул. Максима Горького, д.65/67
- ФИО
- Бакулина Светлана Юрьевна (РЕКТОР)
- E-mail адрес
- rectorat@sgspu.ru
- Контактный телефон
- +7 (846) 2074400
- Сайт
- https://sgspu.ru