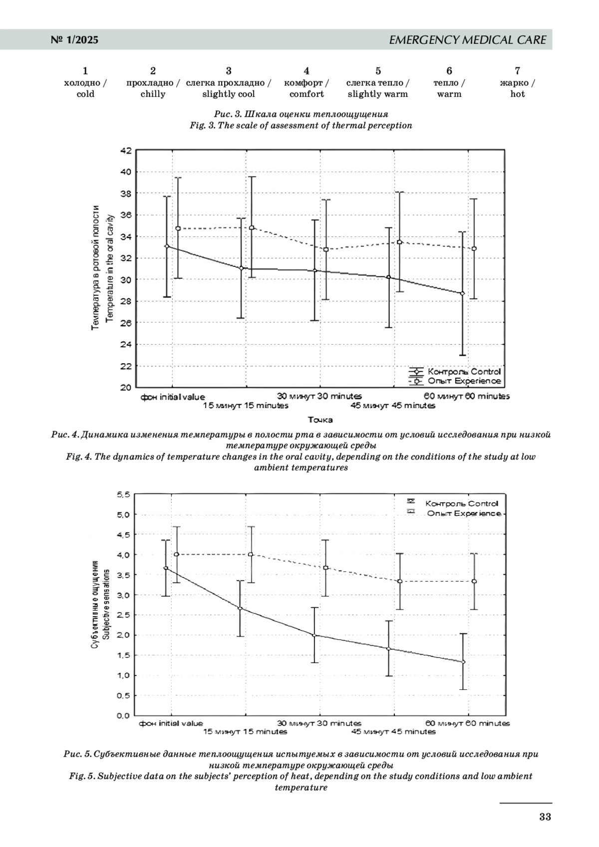
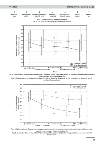
Профилактика гипотермии у раненых и пострадавших остается актуальной проблемой при оказании помощи раненым и пострадавшим с политравмой. Цель исследования: в эксперименте с участием добровольцев оценить эффективность и безопасность применения термопокрывала, предназначенного для предотвращения переохлаждения пострадавшего. Материалы и методы исследования. Исследование выполнялось с участием добровольцев, которые подвергались воздействию холодной температуры с использованием и без использования термоодеяла. Испытуемые находились неподвижно лежа на носилках в термокамере в течение 60 минут при температуре окружающей среды 0 °C, влажность воздуха составляла 50%. Датчики температуры располагались на коже, на верхнем слое одежды и на поверхности термопокрывала. Результаты. Использование термопокрывал при отрицательных температурах окружающей среды способствует более медленному охлаждению организма вследствие отражения тепла от внутренней поверхности изделия. Субъективные ощущения добровольцев показали статистически значимые отличия в теплоощущении при использовании термопокрывал. В опытной группе добровольцы не отмечали, что на каком‑либо этапе им было «холодно», в группе контроля спустя 45 минут наблюдения в 4 случаях ставили 1 балл («холодно»), а один из добровольцев пожелал прекратить исследование. При этом термопокрывала способствуют более медленному остыванию тела. В группе с использованием термопокрывала температура ядра (датчик установлен в ротовой полости) была в среднем выше на 4,2 °C в сравнении с группой добровольцев без термопокрывала. Таким образом, термпопокрывала могут способствовать профилактике гипотермии пострадавших в ходе эвакуации бригадами скорой медицинской помощи. Заключение: представленные образцы изделия термопокрывала являются эффективными средствами профилактики переохлаждения человека в условиях низких температур окружающей среды.
Идентификаторы и классификаторы
- SCI
- Здравоохранение
Гипотермия — это общее снижение температуры организма ниже 35 °C, которое наблюдается, когда теплопродукция не справляется с теплопотреблением [1].
Список литературы
1. Fudge J. Preventing and Managing Hypothermia and Frostbite Injury // Sports Health. 2016. Mar-Apr; Vol. 8, No. 2. Р. 133-139. 10.1177/1941738116630542. PMID: 26857732; PMCID: PMC4789935. DOI: 10.1177/1941738116630542.;PMCID PMID: 26857732
2. Tveita T., Sieck G. C. Physiological Impact of Hypothermia: The Good, the Bad, and the Ugly // Physiology (Bethesda). 2022. Mar. 1; Vol. 37, No. 2. Р. 69-87. Epub 2021 Oct 11. PMID: 34632808. DOI: 10.1152/physiol.00025.2021 EDN: SVFAPM PMID: 34632808
3. Daniel N.J., Storn J. M., Elder J. H., Chevalier J. I., Weinberg N. E. Clinical utilization of a sous vide device in the acute rewarming of frostbitten extremities // Am. J. Emerg. Med. 2022. Feb; Vol. 52. Р. 200-202. Epub 2021 Dec 16. PMID: 34954564. DOI: 10.1016/j.ajem.2021.12.026 PMID: 34954564
4. Литвицкий П. Ф. Патофизиология: учебник: в 2 т. 2-е изд., испр. и доп. М.: ГЭОТАР-МЕД, 2003. Т. 1. 752 с.
Litvickij P. F. Pathophysiology: textbook: in 2 vol. 2nd ed., revised and additional. Moscow: Publishing house GEOTAR-MED, 2003. Vol. 1. 752 p. (In Russ.).
5. Rohrer M.J., Natale A. M. Effect of hypothermia on the coagulation cascade // Crit. Care Med. 1992. Oct; Vol. 20, No. 10. Р. 1402-1405. PMID: 1395660. DOI: 10.1097/00003246-199210000-00007. PMID: 1395660
6. Полдерман К. Х. Применение терапевтической гипотермии в отделении интенсивной терапии // Intensiv Care Med. 2004. Т. 30. С. 757-769.
Polderman K. H. The use of therapeutic hypothermia in the intensive care unit.Intensiv Care Med., 2004, Vol. 30, рр. 757-769 (In Russ.). DOI: 10.1007/500134-003-2151-y
7. Гирш А.О., Стуканов М. М., Леонов Г. В. и др. Сроки возникновения и частота развития гипотермии у больных с шокогенной травмой // Скорая медицинская помощь. 2019. Т. 20, № 2. С. 39-45.
Girsh A. O., Stukanov M. M., Leonov G. V. et al. Timing of occurrence and frequency of development of hypothermia in patients with shockogenic trauma. Emergency medical care, 2019, Vol. 20, No. 2, рр. 39-45 (In Russ.).
Выпуск
Другие статьи выпуска
Диабетический кетоацидоз (ДКА) у детей и подростков — острое и тяжелое осложнение сахарного диабета (СД) 1‑го типа с большим риском осложнений и летальности. ДКА представляет собой тяжелое состояние, дети с которым требуют госпитализации в отделение реанимации и интенсивной терапии. Качество оказания неотложной помощи на догоспитальном этапе при ДКА является актуальной проблемой в педиатрической практике. Цель работы: оценить влияние проведения инфузионной терапии на этапе догоспитальной помощи на длительность течения ДКА у детей и подростков в условиях стационара. Материалы и методы. Обследовано 104 ребенка с ДКА (60 мальчиков и 44 девочки, средний возраст 8,4±0,98 года) находившихся на лечении в отделении реанимации и интенсивной терапии. В зависимости от объема оказания помощи на догоспитальном этапе сформировано две группы исследования: I группа (n=52) — инфузионная терапия; II группа — отсутствие медикаментозной помощи (n=52). При поступлении в стационар оценивали уровень глюкозы и гликированного гемоглобина (HbA1c) в крови, кетоновых тел в моче, уровень сознания по шкале ком Глазго, определяли тяжесть течения ДКА. После купирования проявлений ДКА фиксировали длительность течения осложнения в стационаре. При статистической обработке использовался критерий Манна–Уитни. Результаты и обсуждение. Обнаружено достоверное снижение длительности течения ДКА в стационаре (р=0,0000), минимальные показатели гликемии (р=0,0001) и HbA1c (р=0,0000) у детей из I группы, которые на догоспитальном этапе получали инфузионную терапию. У детей II группы, которым на догоспитальном этапе медикаментозная помощь не оказывалась, выявлено максимальное количество случаев тяжелого течения ДКА. Инфузионная терапия является обоснованной терапевтической тактикой на догоспитальном этапе, которая ускоряет длительность купирования ДКА у детей и подростков в стационаре.
Заключение. Назначение инфузионной терапии догоспитальном этапе у детей является эффективной методикой, позволяющей снизить клинические проявления и осложнения при ДКА в стационаре.
В статье рассматриваются вопросы вклада фибрилляции предсердий (ФП) в структуру вызовов скорой медицинской помощи (СМП) к пациентам с нарушениями ритма в Санкт-Петербурге, вопросы диагностики, клинической оценки этой группы больных и оказания им помощи в рамках клинико-тактической схемы. Анализируется собственный опыт изучения эффективности медикаментозной кардиоверсии пароксизмальной формы ФП и предлагаются направления оптимизации оказания СМП на догоспитальном этапе (ДГЭ).
В Республике Дагестан продолжается реализация регионального проекта «Борьба с сердечно-сосудистыми заболеваниями» с функционированием сосудистых центров. При этом применение фармакоинвазивной стратегии на догоспитальном этапе имеет большое значение у пациентов с острым инфарктом миокарда. Цель работы: изучить данные по догоспитальному системному тромболизису у пациентов с острым инфарктом миокарда с подъемом сегмента ST (ОИМпST) на всей территории Республики Дагестан. Задачами исследования были проведение анализа статистических данных работы СМП РД за 2022, 2023 и 6 месяцев 2024 гг., а также изучение материалов по применению препарата фортелизин как компонента интенсивной догоспитальной терапии ОИМпST с обоснованием необходимости выработки и внедрения протокола эффективной стратегии оказания скорой медицинской помощи у пациентов с ОИМпST на всей территории РД. Материалы и методы исследования. В исследование вошло 103 карты вызова скорой медицинской помощи к пациентам с острым инфарктом миокарда за 2022, 2023 и первые 6 месяцев 2024 гг. на территории Республики Дагестан. Всем пациентам в качестве тромболитика применялся фортелизин. Результаты исследования. Применение фортелизина у пациентов с ОИМ в условиях СМП РД показало высокую эффективность (прекращение болевого синдрома наблюдалось в 73% случаев, а снижение сегмента ST на 50% от исходного зарегистрировано у 52% больных) и безопасность (отмечалась низкая вероятность возникновения серьезных побочных эффектов). Также необходимо отметить тенденцию к снижению использования фармакоинвазивной стратегии на догоспитальном этапе, в большей степени в горных районах республики. Заключение. Выявлены причины снижения использования фармакоинвазивной стратегии на догоспитальном этапе, преимущественно в горных районах Республики. Специалисты районных СМП имеют недостаточные знания о современных фибринолитиках. При принятии решения о проведении ТЛТ, они руководствуются своими страхами перед реперфузионной аритмией и кровотечением. В пользу отказа от ТЛТ также способствует удаленность медицинских учреждений, оказывающих специализированную помощь, географические особенности региона. Показана эффективность, безопасность и удобство применения фортелизина (стандартная дозировка) на догоспитальном этапе. Применение простого в использовании, не требующего сложных расчетов и специальной аппаратуры, эффективного и безопасного тромболитика на всей территории РД будет способствовать улучшению результатов лечения пациентов с ОИМпST и снижению смертности от сердечно-сосудистых заболеваний в регионе.
Цель исследования: провести медико-социальный анализ обращаемости пациентов за скорой медицинской помощью (СМП) по поводу неконтролируемой артериальной гипертензии в г. Санкт-Петербурге, рассчитать предполагаемый экономический эффект от назначения самопомощи. Задачи исследования: 1) изучить структуру обращений пациентов за СМП при повышении артериального давления и оценить их пятилетнюю выживаемость, а также выявить наиболее частые неотложные состояния; 2) изучить и оценить распространенность, динамику обращений, распределение по полу и возрасту пациентов, обратившихся в связи с неконтролируемой артериальной гипертензией в 2015– 2017 гг.; 3) с помощью нейронных сетей прогнозировать изменения обращаемости пациентов в связи с повышением артериального давления; 4) рассчитать предполагаемый экономический эффект от назначения самопомощи. Материалы и методы исследования. Проведен ретроспективный анализ обращений за СМП пациентов г. Санкт-Петербурга в 2015–2017 гг. Всего в исследование включены 250 413 пациентов, которые обратились за СМП в данный период 388 603 раза. Результаты исследования. Выявлены наиболее частые неотложные состояния, уточнена структура обращений в связи с неконтролируемой артериальной гипертензией, определены их динамика и распределение пациентов по возрасту и полу. Выполнено прогнозирование изменения обращаемости пациентов за СМП в связи с повышением артериального давления. Оценена пятилетняя выживаемость пациентов и рассчитан предполагаемый экономический эффект от назначения самопомощи. Заключение. Показано, что в структуре обращений за СМП в связи с повышением артериального давления в г. Санкт-Петербурге обращаемость по поводу неконтролируемой артериальной гипертензии составляла 94,6%. Количество обращений по данному поводу в 2015–2017 гг. увеличилось на 17,8%, прежде всего за счет многократных и впервые в данный период обращений женщин пожилого, старческого возраста и долгожителей. В проведении интенсивной терапии и/или госпитализации не нуждались 90,8% пациентов. Пятилетняя выживаемость пациентов, обращавшихся за СМП по поводу повышения артериального давления, составляла более 98%. Прогностическое моделирование обращаемости за СМП по поводу повышения артериального давления показало ее зависимость от количества пациентов женского пола старших возрастных групп (пожилого, старческого возраста и долгожителей). Предполагаемый экономический эффект от назначения самопомощи составил 80 026 743,8 руб. в год.
Использование лидокаина в схеме в мультимодальной анестезии с целью снижения доз анестетиков по сравнению с классическим обезболиванием — перспективное направление современной анестезиологии. Широкое применение в анестезиологической практике местных анестетиков позволило выявить их существенное влияние на нейромышечный профиль. Однако имеющиеся исследования по изучению комбинаций этих препаратов с мышечными релаксантами носят весьма разноречивый характер. Цель исследования: изучить влияния предоперационного внутривенного введения лидокаина на нервно-мышечную проводимость. Материалы и методы исследования. С целью оценки влияния лидокаина на нервно-мышечную проводимость обследовано 60 пациентов (ASA I–II), которым была проведена лапароскопическая холецистэктомия по поводу хронического калькулезного холецистита. Были сформированы две группы пациентов: принимавшие лидокаин в дозе 2 мг·кг‑1 (30 человек, группа 1) и те, кто использовал 0,9% раствор натрия хлорида (физиологический раствор) (30 человек, группа 2). Нервно-мышечную проводимость оценивали с помощью метода акцелеромиографии (монитор TOF-Watch SX). Результаты. Скорость восстановления нервно-мышечной проводимости были в пределах 47 и 48 мин в 1‑й и 2‑й группах аналогично (р=0,92). Заключение. В результате исследования установлено, что лидокаин статистически не оказывал значимого влияния на нервно-мышечную передачу.
Целью исследования стала разработка экспресс-диагностики закрытой травматической отслойки кожи в ранние сроки у пациентов после высокоэнергетических травм на этапе скорой медицинской помощи. Материалы и методы исследования. Проанализированы результаты лечения 25 пациентов, которые поступили в клинику после высокоэнергетических травм. Всем пациентам выполнена лазерная допплеровская флоуметрия (ЛДФ) в первые сутки с момента травмы. Показатель перфузии, измеряемый с ЛДФ, позволяет с высокой точностью диагностировать закрытую травматическую отслойку кожи. При показателях перфузии (П) поврежденного участка менее П симметричного интактного участка кожи или при П поврежденного участка менее 4 п. ед. диагностируют закрытую травматическую отслойку кожи. Если показатели перфузии соответствуют значениям на симметричном участке или выше/равны значению 4 п. ед., то диагноз исключается. Определены критерии постановки данного диагноза, позволившие предложить алгоритм диагностики закрытой травматической отслойки кожи. Применение разработанных нами подходов к диагностике закрытой травматической отслойки кожи позволит улучшить результаты лечения данной категории пострадавших.
В конце 2023 г. Правительством РФ утверждена Концепция сокращения потребления алкоголя в РФ до 2030 года и дальнейшую перспективу. Планирование мероприятий в рамках решения одной из главных задач Концепции — профилактики злоупотребления алкогольной продукцией, повышения качества и доступности медицинской помощи лицам с алкогольной зависимостью и лицам, страдающим пагубным употреблением алкоголя — требует изучения распространенности и особенностей его употребления среди больных и пострадавших, госпитализированных в ургентный многопрофильный стационар. Цель исследования: оценка распространенности и особенностей повседневного употребления алкоголя пациентами, обратившимися за скорой медицинской помощью в стационарное отделение скорой медицинской помощи ГБУ СПб НИИ СП имени И. И. Джанелидзе. Материалы и методы исследования. В исследуемую выборку вошли 586 пациентов обоих полов, госпитализированных в ГБУ СПб НИИ СП имени И. И. Джанелидзе в связи с соматической патологией. Скрининг производился методом письменного структурированного интервью, включающего вопросы теста для выявления расстройств, связанных с употреблением алкоголя (RUS-AUDIT). Результаты исследования. Представлен анализ структуры употребления алкоголя пациентами ургентного стационара по возрастным группам, полу, частоте, виду и объему употребляемого алкоголя, ассоциации употребления с наличием хронических заболеваний. У опрошенных были оценены признаки пагубного употребления алкоголя, и у значимого числа респондентов были обнаружены тенденция к запойному употреблению, отказу от обычных дел и чувство вины в связи с употреблением алкоголя.
Введение. Потребность в модернизации салонов автомобилей скорой медицинской помощи (СМП) обусловлена необходимостью улучшения их эргономики. Цель исследования: оптимизировать прототип салона автомобиля скорой медицинской помощи на основе обратной связи и рекомендаций экспертного сообщества. Задачи исследования: оценить прототип салона СМП, доработать конструкцию на основе обратной связи, внедрить модификации в серийные модели, провести повторную оценку полученных результатов, в том числе эксплуатационную оценку, и выявить направления для дальнейших улучшений. Материалы и методы. Исследование проводилось в два этапа: на первом этапе было опрошено 255 респондентов, на втором — 245. Применялись методы описательной статистики и критерий Манна–Уитни для оценки статистической значимости различий между показателями прототипа и серийных моделей. Результаты. По итогам анализа: универсальность креплений была улучшена (рост оценки с 4,49 до 4,71), комфорт пациента увеличился с 4,67 до 4,80, а удобство уборки выросло с 4,52 до 4,74; общее число положительных отзывов составило 84%, что подтвердило высокий уровень удовлетворенности медицинского сообщества. Заключение. Интеграция обратной связи медицинского сообщества в процесс проектирования автомобилей СМП позволила создать функциональные и надежные решения, отвечающие современным требованиям и улучшающие условия работы сотрудников бригад СМП. Разработанная методология показала свою эффективность и может быть использована для дальнейшей модернизации санитарного транспорта.
Цель. Изучить управленческую часть скорой медицинской помощи (СМП) до и после формирования единой вертикальной системы скорой помощи в Республике Узбекистан. Задачи: провести анализ управленческой части скорой медицинской помощи до формирования единой вертикальной системы СМП в Республике Узбекистан; изучить структуру и штатные нормативы новой единой вертикальной системы скорой помощи в Республике Узбекистан; проанализировать интеграцию СМП с учреждениями, оказывающими первичную медико-санитарную помощь населению города Ташкента. Материалы и методы исследования. Для проведения исследования использовались статистические методы изучения работы службы скорой медицинской помощи, материалы анализа нормативных правовых актов, регламентирующих оказание СМП. В ходе исследования проанализированы статистические данные СМП по Республике Узбекистан и отдельно 2021–2023 гг. по городу Ташкенту. Результаты. В стране осуществляются комплексные меры по развитию здравоохранения, обеспечению гарантий прав граждан на охрану здоровья со стороны государства, формированию здорового образа жизни граждан, доступности медицинской помощи для всех слоев населения. СМП является важнейшей составной частью первичной медико-санитарной помощи (ПМСП) населению, находящейся на линии непосредственного соприкосновения с потребителем медицинских услуг. Однако отсутствие единой управленческой системы СМП не давало возможности повысить качество помощи. В целях коренного совершенствования системы СМП, направленного на кардинальное усиление ее оперативности, технологичности и эффективности, организацию на самом высоком уровне всего комплекса лечебной, научно-методической и образовательной работы по оказанию населению своевременной СМП были созданы Республиканский центр скорой медицинской помощи и 14 его региональных филиалов на базе службы СМП и медицинских автохозяйств, внедрена единая вертикальная система управления СМП. Это дало возможность усовершенствовать систему СМП. Заключение. Формирование единой вертикальной системы СМП позволяет обеспечить повышение доступности и качества СМП по республике.
Цель: выявление объективных критериев для определения тех заболеваний, при которых телемедицина будет наиболее эффективна. Задачи исследования: 1) анализ факторов риска; 2) определение эффективности телемедицины; 3) создание предсказательной модели. Материалы и методы. В исследовании проведен ретроспективный анализ 1115 пациентов в критическом состоянии, которые получили травмы в результате аварий на автомагистралях и с обострениями различных заболеваний в удаленных районах, требующие неотложной медицинской помощи. Основным фактором было определение вероятности смертности в первые 24 часа после поступления в стационар. Оценивались такие факторы риска, как возраст пациентов, баллы по шкале комы Глазго (GCS), состояние комы и другие клинические показатели. Статистический анализ был проведен с использованием бинарной логистической регрессии, а качество модели было оценено с помощью тестов «Omnibus Tests of Model Coefficients» и «Hosmer and Lemeshow». Результаты. Исследование показало, что время, затраченное на прибытие скорой помощи на место происшествия после вызова, значительно влияет на риск осложнений и смертности; чем дольше задержка, тем выше вероятность смерти. Хотя возраст увеличивает риск смертности, это увеличение статистически незначительно. Низкие баллы по шкале комы Глазго (GCS) ассоциируются с повышенным риском смертности у пациентов с тяжелой комой. Пациенты с «Комой 1» имеют очень низкие шансы на выживание, что подчеркивает необходимость тщательного учета таких состояний при принятии решений об оказании экстренной медицинской помощи. Анализ диагнозов выявил, что определенные состояния, такие как гипертензия и нарушения мозгового кровообращения, значительно влияют на вероятность смертности. Другие диагнозы, такие как патологическая беременность и закрытая черепно-мозговая травма, не показали статистически значимого влияния. Эти результаты предоставляют важные данные для принятия медицинских решений и выявления групп высокого риска для телемедицинского вмешательства. Заключение. Данное исследование предлагает важные результаты, которые способствуют определению объективных критериев для повышения эффективности телемедицины в экстренной медицинской помощи. Прогнозируя, при каких условиях пациенты получат наибольшую пользу от телемедицины, медицинские учреждения могут принимать стратегические решения, направленные на улучшение качества услуг и повышение шансов на выживание пациентов в критическом состоянии.
Статистика статьи
Статистика просмотров за 2025 год.
Издательство
- Издательство
- СЗГМУ ИМ. И.И. МЕЧНИКОВА
- Регион
- Россия, Санкт-Петербург
- Почтовый адрес
- 191015, г Санкт-Петербург, Центральный р-н, ул Кирочная, д 41
- Юр. адрес
- 191015, г Санкт-Петербург, Центральный р-н, ул Кирочная, д 41
- ФИО
- Сайганов Сергей Анатольевич (РЕКТОР)
- Контактный телефон
- +7 (___) _______
- Сайт
- https://szgmu.ru/