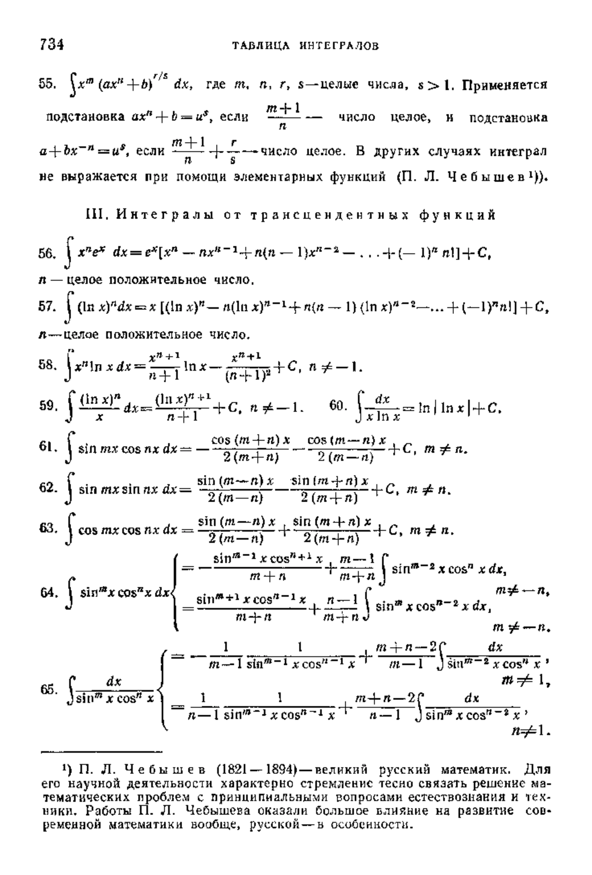
Книга: Краткий курс математического анализа для ВТУЗов (5-е изд.)

Четвёртое издание «Краткого курса математического анализа для втузов» выпускается в значительно переработанном виде. Главная цель переработки заключалась в том, чтобы привести «Курс» в соответствие с программой по высшей математике для инженерно-технических специальностей, утверждённой Министерством высшего и среднего специального образования СССР в 1964 г.

Параграфы и пункты, относящиеся к той части программы, которая может не изучаться во втузах с уменьшенным объёмом курса математики (это относится главным образом к специальностям технологического профиля), отмечены звёздочками; читатель может выпустить эти пункты без всякого ущерба для понимания остального текста. Звёздочками отмечены также относящиеся к этим пунктам вопросы для самопроверки, помещённые в конце каждой главы.

Информация о документе

Формат документа
PDF, DJVU
Кол-во страниц
737 страниц
Загрузил(а)
Лицензия
Доступ
Всем

Информация о книге

Издательство
Наука
Год публикации
1967
Автор(ы)
Бермант А.Ф., Араманович И.Г.
Ключевые фразы
математический анализ
Каталог SCI
Математика

Статистика просмотров

Статистика просмотров книги за 2025 год.