Книга: Бесселевы функции
Книга Кузьмина Р. О., профессора Ленинградского гидротехнического института, является первой на русском языке, по Бесселевым функциям. Материал книги разбит на три главы. В первой главе автор дает в сжатом виде изложение теории Эйлерова интеграла второго рода (Гамма-функция) и его связь с интегралом первого рода (Бета-функция), останавливаясь более подробно на выводе тех результатов, которые являются наиболее важными.
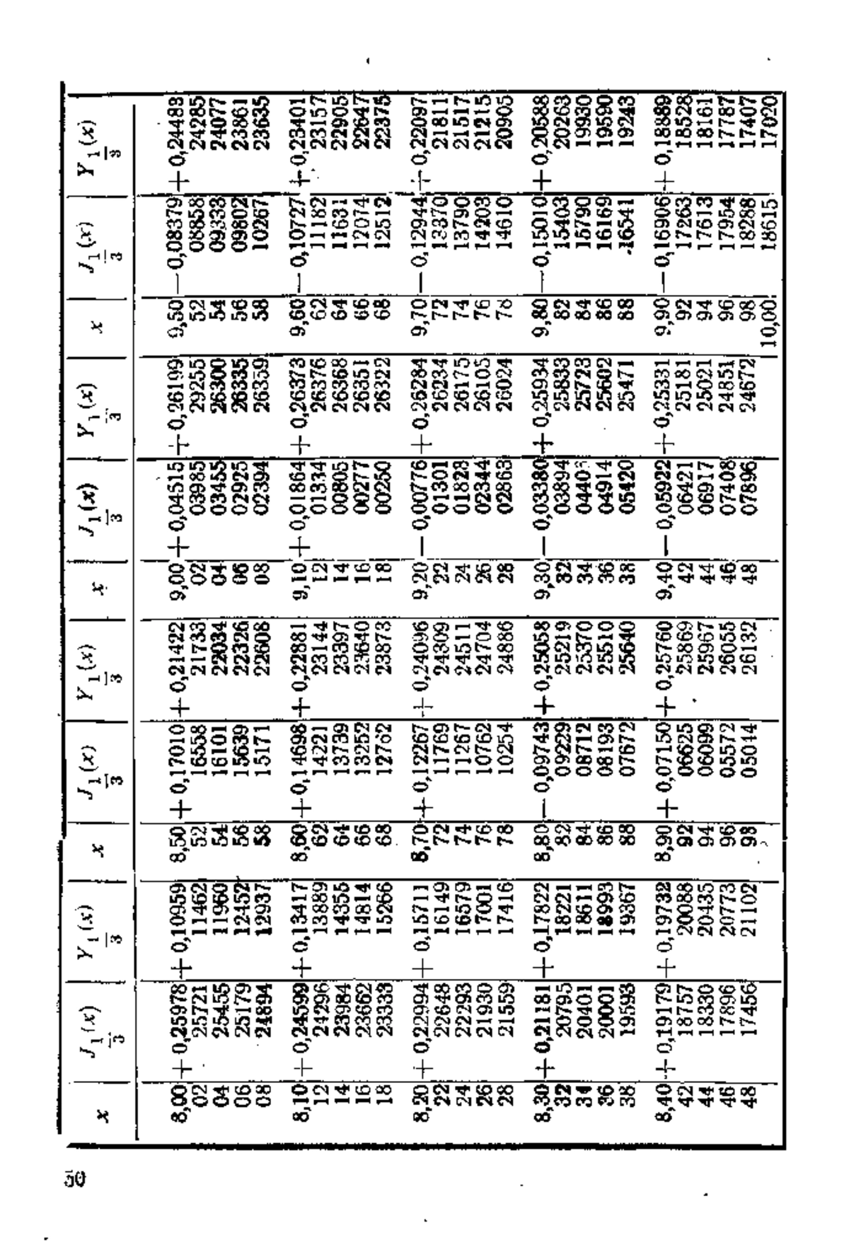
Вторая и третья главы посвящены собственно Бесселевым функциям и их приложениям. В них автор дает: решения (интегралы) дифференциального уравнения Бесселя, различные виды этих решений (глава вторая) и показывает, каким образом сам Бессель пришел к уравнению, которое носит теперь его имя (глава третья). В конце книги помещены таблицы Бесселевых функций, являющиеся не только наиболее полными в русской литературе, но некоторые из них появляются вообще впервые.
Книгу можно рекомендовать студентам старших курсов физматфакультетов, аспирантам и инженерам.
Информация о документе
- Формат документа
- PDF, DJVU
- Кол-во страниц
- 152 страницы
- Загрузил(а)
- Лицензия
- —
- Доступ
- Всем
Информация о книге
- Издательство
- ГТТИ
- Год публикации
- 1933
- Каталог SCI
- Математика
- ББК
- 22.1. Математика
- УДК
- 51. Математика
Статистика просмотров
Статистика просмотров книги за 2025 год.