Книга: Дифференциальное исчисление
В этой книге автор намерен вывести всё дифференциальное исчисление из истинных начал и изложить его столь подробно, чтобы не опустить ни одного из найденных до сих пор результатов, к нему относящихся. Книга разделена на две части. В первой из них, введя основные понятия дифференциального исчисления, изложен метод дифференцирования всевозможных функций и показано, как находить дифференциалы не только первого, но и высших порядков, как для функций одного переменного, так и для функций двух и большего числа переменных. Во второй части изложены разнообразные применения дифференциального исчисления к анализу конечных количеств и к учению о рядах. Здесь с особой обстоятельностью изложена теория максимумов и минимумов.
Информация о документе
- Формат документа
- PDF, DJVU
- Кол-во страниц
- 518 страниц
- Загрузил(а)
- Лицензия
- —
- Доступ
- Всем
Информация о книге
- Год публикации
- 1949
Статистика просмотров
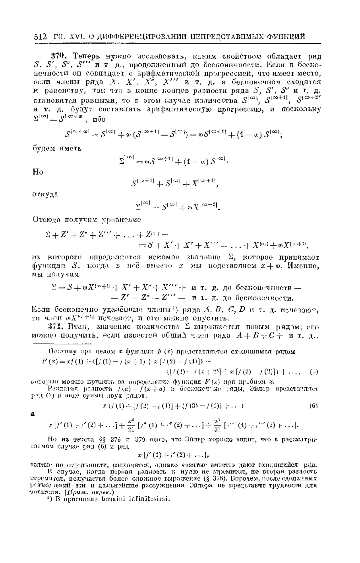
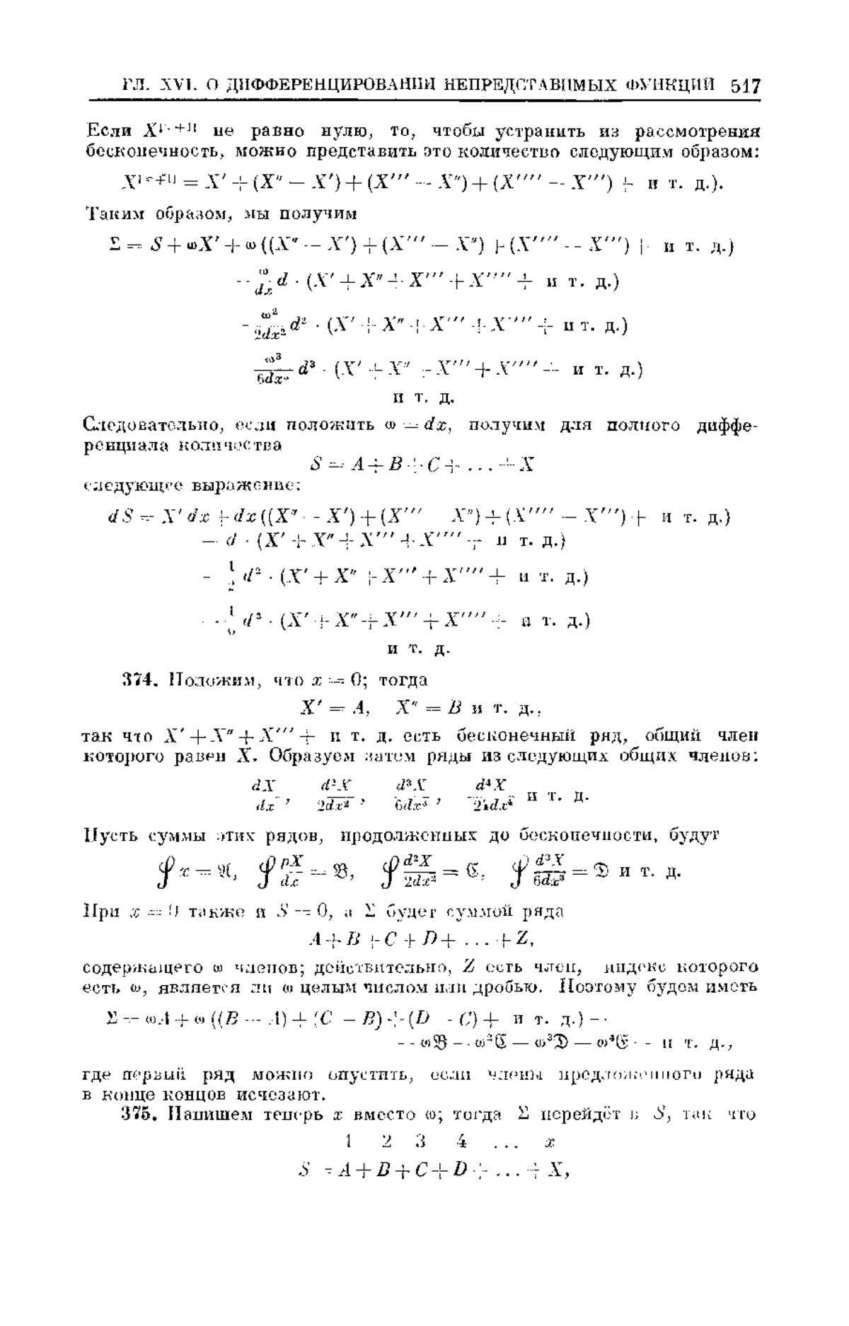
Статистика просмотров книги за 2025 год.