Книга: Таблица неопределенных интегралов

Неопределенные интегралы — наиболее употребительные формулы высшей математики. Самые разнообразные вопросы математики и ее приложений к технике, естествознанию, экономике, статистике и т. д. приводят к вычислению того или иного интеграла.

Комплект готовых интегралов нужен инженерам, техникам, экономистам, научным и практическим работникам самых разнообразных специальностей. Он необходим и студентам вузов и техникумов.

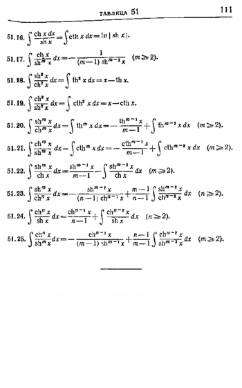
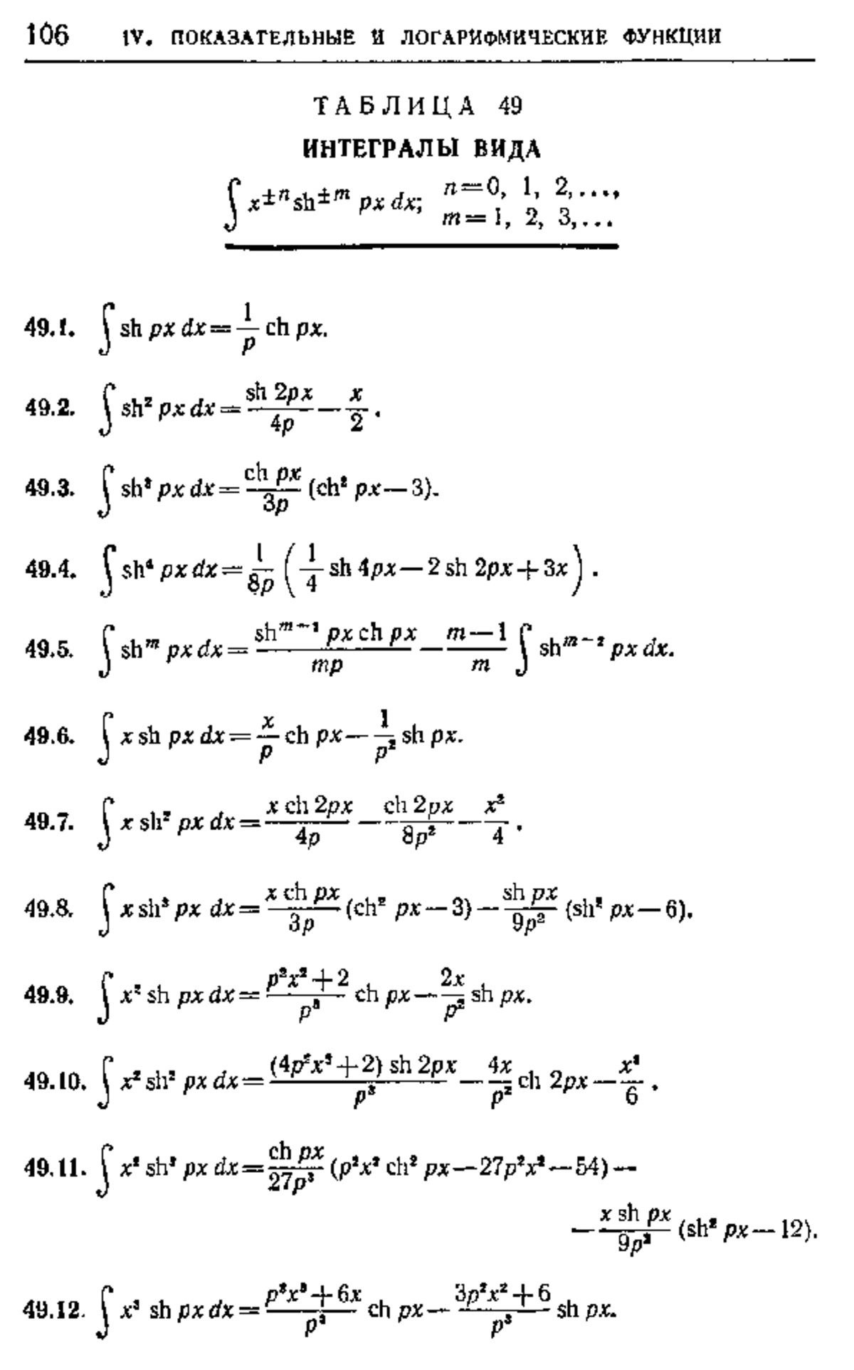
Справочник М. Л. Смолянского содержит около 1300 интегралов, выпускается небольшим форматом и приспособлен для быстрого отыскания нужной формулы.

Во втором издании изменено расположение таблиц и выправлены замеченные опечатки.

Информация о документе

Формат документа
PDF, DJVU
Кол-во страниц
112 страниц
Загрузил(а)
Лицензия
Доступ
Всем

Информация о книге

Издательство
ФИЗМАТЛИТ
Год публикации
1963
Автор(ы)
Смолянский С.М.
Каталог SCI
Математика

Статистика просмотров

Статистика просмотров книги за 2025 год.