Введение. Анализ статистики дорожно-транспортных происшествий показывает, что большинство происшествий происходит в результате изменения эксплуатационного состояния, связанного с образованием скользкости. В 2022 году в Российской Федерации в результате неудовлетворительных дорожных условий произошло 38 614 дорожно-транспортных происшествий, из которых 79 % было зафиксировано на дорогах местного значения. Установлено, что большинство из них происходит в результате изменения эксплуатационного состояния, связанного с образованием скользкости. С целью повышения уровня безопасности дорог местного значения в рамках исследования предложен метод повышения безопасности автомобильных дорог местного значения.
Методы. В качестве методов исследования определены методы натурных исследований, статистического и математического анализа.
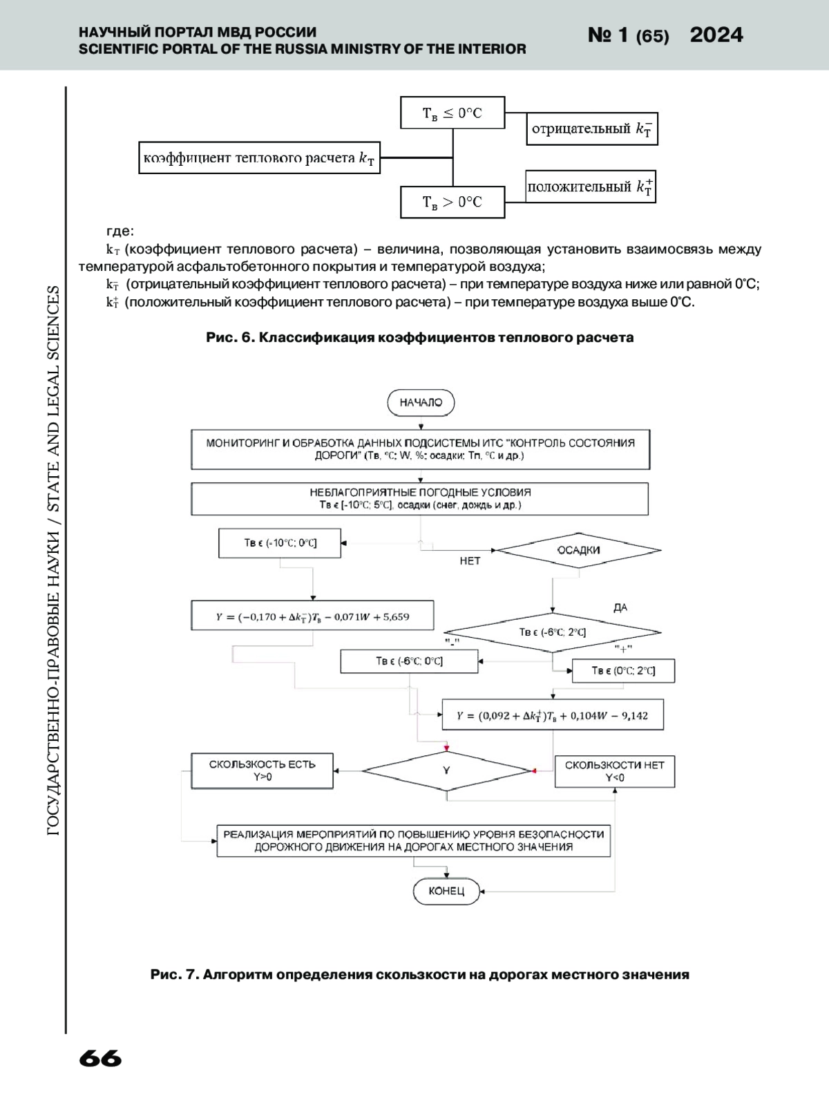
Результаты. В результате обоснования определяемых параметров с помощью исполнительных элементов подсистемы «контроль состояния дороги», расположенных на дорогах федерального значения, установлены параметры, позволяющие установить наличие скользкости, - температура воздуха, температура покрытия, влажность, осадки и другие. Проведенный ряд экспериментов на местных дорогах города Белгорода позволил определить различия между температурными режимами автомобильных дорог, расположенных в городской и загородной среде. Полученные результаты были определены с помощью коэффициента теплового расчета ( k_Т-=0,72 и k_Т+=1,83), что стало основой для разработки алгоритма определения скользкости на дорогах местного значения.
Выводы. Результаты, полученные в ходе исследования, стали основой для совершенствования математической модели определения скользкости, используемой в технических системах, и применения ее к дорогам местного значения, расположенным в городской транспортной системе. В результате был разработан алгоритм процесса контроля возникновения скользкости, позволяющий оперативно принять меры для повышения безопасности дорожного движения.
Идентификаторы и классификаторы
Актуальность вопроса безопасности дорожного движения (далее – БДД) находит отражение во многих стратегических документах Российской Федерации, различного рода нормативных правовых актах, приказах и распоряжениях, в том числе приказах МВД России. Так, следуя основной стратегической цели согласно Указу Президента Российской Федерации, одним из основных направлений эффективной политики государства является сохранение человеческой жизни.
Список литературы
1. Жанказиев С. В., Воробьев А. И., Морозов Д. Ю. Тенденции развития автономных интеллектуальных транспортных систем в России // Транспорт Российской Федерации. 2016. № 5 (66). С. 26-28. EDN: WZJSTL
2. Жанказиев С. В., Нгуен Х. М., Вздыхалкин В. Н., Карпов П. В. Применение интеллектуальных транспортных систем для снижения тяжести последствий ДТП // Наука и техника в дорожной отрасли. 2019. № 2 (88). С. 2-4. EDN: XZLQOD
3. Шевцова А. Г., Бурлуцкая А. Г., Васильева В. В. Внедрение интеллектуальной транспортной системы RAMPMETERING на примере г. Белгорода // Мир транспорта и технологических машин. 2018. № 4 (63). С. 42-48. EDN: YSULLV
4. Суслова Т. В. Интеллектуальные транспортные системы: перспективы развития в российском транспортном комплексе // Молодой ученый. 2020. № 2 (292). С. 20-22. EDN: XTSKXI
5. Обухов А. Д., Маслов Е. С. Цифровая версия транспортно-логистической системы // Автоматика, связь, информатика. 2018. № 5. С. 12-15. EDN: XNHIST
6. Покровская О. Д. Цифровизация транспортной отрасли // Транспорт: наука, техника, управление: научный информационный сборник. 2019. № 12. С. 3-7. EDN: WEYNNH
7. Рублева А. А., Рублева П. А. Цифровизация систем управления транспортными перевозками // Вопросы устойчивого развития общества. 2020. № 8. С. 261-264. EDN: ZWTMHX
8. Шевцова А. Г. Динамика реализации программы VISION ZERO в мировых странах // Мир транспорта и технологических машин. 2021. № 3 (74). С. 35-42. EDN: LYTEUC
9. Шевцова А. Г. Математический анализ определенных показателей безопасности дорожного движения в Российской Федерации // Вестник Сибирского государственного автомобильно-дорожного университета. 2021. Т. 18. № 6 (82). С. 700-711.
10. Кирюхин Г. Н. Температурные режимы работы асфальтобетонных покрытий автомобильных дорог // Дороги и мосты. 2014. № 30. С. 309-328.
11. Макагонов А. Е., Новиков И. А., Шевцова А. Г. Анализ методов определения температуры дорожного покрытия // Мир транспорта и технологических машин. 2018. № 2 (61). С. 33-39. EDN: XVLVJB
Выпуск
Другие статьи выпуска
Введение. Подвергнута анализу существующая проблема производства по делам об административных правонарушениях, предусмотренных статьей 6.1.1 Кодекса Российской Федерации об административных правонарушениях. Побои как административное правонарушение представляется в форме телесных повреждений, не повлекших вреда здоровью и не содержащих признаков составов преступлений. Поскольку розыск подозреваемого или обвиняемого предусмотрен только в рамках уголовно-правовой нормы и регламентируется Уголовно-процессуальным кодексом Российской Федерации, предложено внесение в административное законодательство нового положения - «объявление в административный розыск».
Доказывается необходимость внесения изменений в действующее законодательство Российской Федерации с целью качественной деятельности органов внутренних дел при производстве по делам об административных правонарушениях.
Сделан вывод о том, что административное законодательство является одним из важнейших регуляторов в сфере государственного управления, поэтому требует постоянного совершенствования с учетом общественных интересов.
Введение. Анализируется проявление принципа презумпции невиновности в оперативно-розыскной деятельности с учетом ее вспомогательного характера применительно к задачам уголовного судопроизводства. При этом данный конституционный принцип рассматривается применительно к оперативно-розыскной деятельности, учитывая общность публично-правовых отношений по поводу проверки информации о подготавливаемом, совершаемом или совершенном преступлении, которые подпадают под действие как Уголовно-процессуального кодекса Российской Федерации, так и Федерального закона «Об оперативно-розыскной деятельности», в силу чего выдвигается гипотеза об общности и рассматриваемого фундаментального принципа уголовного судопроизводства.
Методология. Проведен анализ положений указанного Федерального закона и Уголовно-процессуальный кодекс Российской Федерации в соотношении с нормативными требованиями Конституции Российской Федерации, задействованы правовые позиции Конституционного Суда Российской Федерации, затрагивающие вопросы оперативно-розыскной деятельности и презумпции невиновности.
Цель исследования заключается в развитии идей профессора В. А. Лукашова относительно действия конституционного принципа презумпции невиновности в оперативно-розыскной деятельности.
Автор приходит к выводу, что по смыслу взаимосвязанных положений указанных Кодекса и Федерального закона оперативно-розыскная деятельность не вступает в противоречие с презумпцией невиновности, а дополняет, усиливает гарантии данного конституционного принципа в уголовном судопроизводстве средствами этой деятельности.
Освещается проблематика докладов ученых образовательных организаций Министерства внутренних дел Российской Федерации, юридических вузов России и зарубежных стран, представленная в ходе проведения в Ростовском юридическом институте Министерства внутренних дел Российской Федерации 24 ноября 2023 года Международной научно-практической конференции «Образ современного полицейского». Основное внимание на конференции было уделено анализу природы и роли образа сотрудника полиции в общественной жизни и профессиональной деятельности, вопросам исторической трансформации образа полицейского в общественном сознании, особенностям международного опыта формирования позитивного образа полицейского, существующим формам и способам формирования положительного образа полиции в российском обществе.
Целью работы является формулирование предложений по совершенствованию ведомственной нормативной основы деятельности оперативных подразделений органов внутренних дел по контролю за лицами, склонными к совершению преступлений.
Во введении отмечается, что проведение специальной военной операции и связанное с этим осложнение криминогенной обстановки под воздействием внешних и внутренних деструктивных сил требуют выработки новых подходов в отношении упреждающего воздействия на криминальные вызовы и угрозы. В частности, в данном контексте указывается на необходимость адекватного реагирования со стороны органов внутренних дел на деятельность физических и юридических лиц, выполняющих функции иностранного агента, которые, как показала практика, также могут оказывать серьезное дестабилизирующее воздействие на общественно-политическую обстановку в стране.
В основной части анализируется ведомственная нормативная база (ее открытый сегмент) деятельности органов внутренних дел по предупреждению преступлений и оказанию индивидуального профилактического воздействия на лиц, находящихся в «группе риска», в первую очередь состоящих под административным надзором. Автор акцентирует внимание на необходимости расширения компетенции оперативных подразделений полиции в части осуществления оперативно-розыскного контроля за лицами, состоящими на оперативном и профилактическом учетах. Отдельно подчеркивается важность правильного определения критериев оценки деятельности оперативных подразделений по данному направлению, которые должны способствовать повышению эффективности этой работы.
В заключительной части автором изложены конкретные предложения по изменению и дополнению ведомственных нормативных актов Министерства внутренних дел Российской Федерации, регламентирующих деятельность оперативных подразделений полиции по предупреждению и профилактике преступлений.
Определены цели, содержательные признаки и само понятие оперативно-розыскного обеспечения правового режима военного положения, приведен примерный перечень частных задач, решаемых оперативными подразделениями уполномоченных государственных органов в рамках данной деятельности. Автор указывает на проблему неизученности оперативно-розыскного обеспечения правового режима военного положения. Данное обстоятельство осложняется еще и тем, что территории субъектов Российской Федерации, на которых введено военное положение, относятся к так называемым новым территориям, недавно вошедшим в состав Российской Федерации и не в полном объеме (часть данных территорий продолжает находиться под оккупацией). Оперативно-розыскное обеспечение военного положения определяется как комплекс проводимых при усилении режима секретности в особом порядке оперативно-розыскных мероприятий и действий оперативными подразделениями компетентных органов из числа сил, обеспечивающих военное положение на территории, на которой оно введено, в течение срока его действия в отношении определенных объектов в целях создания условий для отражения или предотвращения агрессии против Российской Федерации и защиты жизни, здоровья, прав и свобод человека и гражданина, собственности, обеспечения безопасности общества и государства от преступных посягательств.
Ведение. Посвящена проблемным вопросам, возникающим в процессе выявления и раскрытия преступлений в сфере противодействия легализации (отмыванию) доходов, полученных преступным путем, и финансированию терроризма. Обозначены актуальные для оперативных подразделений органов внутренних дел вопросы нормативно-правового обеспечения и организации оперативно-служебной деятельности подразделений экономической безопасности и противодействия коррупции.
Методология. Проведен анализ оперативной обстановки в сфере легализации (отмывания) доходов, полученных преступным путем, и финансирования терроризма и результатов работы оперативных подразделений органов внутренних дел. Рассмотрены рекомендации Верховного Суда Российской Федерации, связанные с темой исследования.
Результаты. Установлены особенности криминализации экономических отношений, показано развитие теневых процессов в стране. Вносятся предложения по повышению эффективности работы оперативных подразделений органов внутренних дел, направленные на эффективное предупреждение, пресечение и раскрытие преступлений силами, средствами и методами оперативно-розыскной деятельности.
Практическая значимость. Отражена актуальная информация о результатах работы органов внутренних дел в сфере противодействия легализации (отмыванию) доходов, полученных преступным путем, и финансированию терроризма, а также итоги изучения решений Верховного Суда Российской Федерации.
Выводы. Изложенные в данной статье методические рекомендации по противодействию терроризму со стороны органов внутренних дел, его финансированию и легализации (отмыванию) доходов, полученных преступным путем, могут повысить результативность данной деятельности, в частности с применением специальных сил, средств и методов работы оперативных подразделений.
Введение. Актуальность темы исследования обусловлена необходимостью повышения эффективности взаимодействия и использования имеющихся ресурсов всех сил и средств, участвующих в раскрытии преступления и задействованных в поиске без вести пропавших лиц, в том числе несовершеннолетних, что в целом качественно скажется на осуществлении указанного процесса.
Результаты. На основе анализа существующих доктринальных подходов к пониманию взаимодействия в сфере расследования и раскрытия преступлений сформулировано определение понятия «взаимодействие».
Рассмотрена деятельность дежурных частей органов внутренних дел по организации в процессе раскрытия преступления совместных действий с субъектами, находящимися в единой системе подчинения данному подразделению, а также не входящими в нее, представляющими разные ведомства и организации, имеющими свойственную им специфичность и индивидуальную направленность выполняемых задач. Приведена нормативно-правовая база взаимодействия дежурных частей органов внутренних дел с Федеральной службой безопасности, Федеральной службой исполнения наказаний, а также общественными организациями. Сделан акцент на организации взаимодействия с добровольческими поисковыми отрядами. На основе примеров из личной практики автора доказывается организующая роль оперативных дежурных дежурной части. Предлагается ряд теоретических положений и практических рекомендаций, направленных на повышение эффективности взаимодействия дежурных частей органов внутренних дел и общественных организаций, в частности добровольческих поисковых отрядов, при осуществлении розыска без вести пропавших несовершеннолетних.
Делается вывод, что в структуре органов внутренних дел с ролью управления и координации деятельности в целях обеспечения общей эффективности взаимодействия в процессе раскрытия преступления справится дежурная часть органов внутренних дел, которая по своей сути является круглосуточно функционирующим координационным органом, обеспечивающим согласованные действия всех служб по раскрытию и расследованию преступлений при минимальных затратах времени.
Федеральным законом от 31 декабря 2014 г. № 528-ФЗ «О внесении изменений в отдельные законодательные акты Российской Федерации по вопросу усиления ответственности за совершение правонарушений в сфере безопасности дорожного движения» Уголовный кодекс Российской Федерации2 (далее – УК РФ) был дополнен ст. 264.1, которой впервые была введена уголовная ответственность за управление транспортным средством в состоянии опьянения лицом, подвергнутым административному наказанию или имеющим судимость.
Рассматривается содержание понятия подготовки научных и научно-педагогических кадров в аспирантуре (адъюнктуре), выявляются негативные факторы, влияющие на снижение эффективности данного института.
Во введении определяются цели подготовки научных и научно-педагогических кадров в аспирантуре (адъюнктуре) посредством отделения их от целей высшего образования на иных его уровнях. На основе содержания законодательства об образовании и подзаконного регулирования подготовки указанных кадров определена ее дефиниция. Обозначена проблема воспроизводства научных и научно-педагогических кадров на современном этапе.
В основной части автором раскрыты проблемы недостаточной ориентированности общего образования на развитие аналитических навыков и навыков творческого мышления, вредность дополнительной структуризации высшего образования сообразно требованиям Болонского процесса для института подготовки кадров в аспирантуре, показаны недостаточный уровень возможностей у государства по финансированию подготовки научно-педагогических кадров и деятельности уже подготовленных кадров, отсутствие надлежащих стимулов к научному руководству аспирантами у научных руководителей. В заключительной части сформированы выводы и предложения, направленные на развитие нормативно-правового регулирования подготовки научно-педагогических кадров в аспирантуре (адъюнктуре). Утверждается необходимость комплексного совершенствования законодательства об образовании, а также усиления стимулирующего воздействия на аспирантов (адъюнктов) и их научных руководителей.
Введение. Рассматривается информационный контекст развития органов внутренних дел в целях более современного, всестороннего и оперативного обеспечения национальной безопасности в условиях повсеместного и стремительного развития информационных технологий. Проведен анализ современных информационных средств, активно применяемых сотрудниками органов внутренних дел. Отдельно рассматриваются особенности эксплуатации на местах программного обеспечения сервиса обеспечения охраны общественного порядка единой системы информационно-аналитического обеспечения деятельности Министерства внутренних дел Российской Федерации; проблемы, которые возникают в повседневной деятельности сотрудников подразделений системы Министерства внутренних дел Российской Федерации, которым предоставлено право доступа к соответствующим модулям.
Объектом научной статьи выступают общественные отношения, возникающие в процессе выполнения сотрудниками полиции обязанностей по фиксации проводимой профилактической работы в соответствующих модулях сервиса обеспечения охраны общественного порядка.
Предметом исследования являются нормативные и правовые акты, которые непосредственно регулируют указанные общественные отношения.
Научная новизна исследования определяется выводами автора по исследуемой проблематике и предложениями по совершенствованию законодательства в сфере эксплуатации программного обеспечения сервиса обеспечения охраны общественного порядка единой системы информационно-аналитического обеспечения деятельности МВД России в территориальных отделах полиции.
Рассматриваются эффективность, а также критерии правомерности применения сотрудниками полиции административно-правовых мер пресечения в процессе выявления, предотвращения противоправных и общественно опасных деяний в семейно-бытовой сфере. Приводятся доводы о необходимости стандартизации процедуры пресечения правонарушений в рассматриваемой сфере исходя из типовой ситуации, в которой совершается противоправное деяние.
Опираясь на действующее административное законодательство, автор указывает на специфику выбора мер полицейского реагирования (пресечения) в семейно-бытовой сфере, а также на необходимость и целесообразность их применения в зависимости от уровня общественной опасности совершаемого деяния, намерений правонарушителя, пола, возраста и места происшествия.
Автор выделяет типовые ситуации совершения правонарушений в рассматриваемой сфере общественных отношений, однако подчеркивает динамичность и непредсказуемость развития ситуации от простого словесного семейно-бытового конфликта до совершения насильственного преступления и соответственно вариативность применения мер пресечения.
Действия должностных лиц полиции, наделенных соответствующими государственно-властными полномочиями, пресекающих правонарушения, должны в полной мере соответствовать создавшейся обстановке, характеру и степени опасности действий правонарушителя. При этом правомерность действий складывается из знания цели, оснований применения меры пресечения, а также порядка ее реализации.
Спустя десятилетие после утверждения Концепции общественной безопасности в Российской Федерации вопросы научно-методологического обеспечения деятельности в рассматриваемой сфере национальной безопасности по-прежнему остаются предметом научной дискуссии. Анализ современных научных публикаций по проблемам общественной безопасности позволяет утверждать, что, несмотря на принятые решения в сфере стратегического планирования, соответствующие задачи по организации научно-методологического обеспечения - одного из основных стратегических национальных приоритетов - приходится решать в условиях отсутствия единой системы научно обоснованных взглядов на обеспечение общественной безопасности как части национальной безопасности страны.
Цель исследования. На основе авторского теоретико-методологического подхода к анализу объектов защиты, целей и основных направлений обеспечения национальной безопасности, иных категорий, закрепленных в документах стратегического планирования в сфере национальной безопасности, определить роль и место общественной безопасности в системе стратегических национальных приоритетов. Разработать предложения по оптимизации положений Стратегии национальной безопасности Российской Федерации.
Выводы. Сформулированы выводы, что при обеспечении и защите национальных интересов Российской Федерации концентрация усилий и ресурсов органов публичной власти, организаций и институтов гражданского общества должна быть сосредоточена на реализации самостоятельных стратегических национальных приоритетов в виде общественной и государственной безопасности. Отдельные усилия должны быть направлены на защиту населения от чрезвычайных ситуаций природного и техногенного характера как на важнейший приоритет, нуждающийся в обеспечении безопасности и устойчивой репродукции. При этом объективно значимые потребности личности не могут рассматриваться в качестве национальных интересов Российской Федерации в отрыве от национальных интересов российского общества.
Введение. Коррупция сопровождает человечество еще с догосударственных времен. Меняются исторические эпохи, формы правления, политические режимы, государственные идеологии, но победить коррупцию не удается ни одному государству ни в истории, ни в современности. Громкие коррупционные скандалы возникают даже в странах, относящих себя к государствам с высоким уровнем правовой культуры.
В связи с этим научные исследования коррупционных проявлений имеют повышенную значимость в контексте как социально-экономических, так и политико-правовых аспектов.
Целью статьи является детерминация сущности коррупции в традиционном обществе для выявления алгоритмов ее генезиса и возможностей правового воздействия для минимизации данного явления.
На основе проведенного анализа автор пришел к выводу, что коррупция хоть и имманентна обществу, но эволюция правовой культуры идет от восприятия коррупции как обычного социального явления к ее оценке как общественно опасного деяния, обладающего особой негативной социальной значимостью. Среди методов, использованных автором, следует выделить совмещение хронологического и компаративного методов, что позволило проводить параллели и совпадения между традиционным и современным обществом в контексте коррупционных проявлений.
Деятельность патрульно-постовой службы, занимающей особое место в системе подразделений, реализующих задачи в сфере охраны общественного порядка и обеспечения общественной безопасности в общественных местах, на протяжении всей современной истории Российского государства регламентировалась соответствующими нормативными правовыми актами (уставами, наставлениями). Вместе с тем данное нормативное правовое регулирование было не обособленным. Историческое развитие государства и происходящие в стране события обусловливали изменения в указанном регулировании, определяя специфичные задачи для подразделений, несущих патрульно-постовую службу, с учетом именно конкретного исторического момента. Необходимость выявления основных тенденций и закономерностей развития нормативного правового регулирования патрульно-постовой службы в данном контексте и определяет актуальность исследования.
Целью исследования является выявление зависимости в нормативном правовом регулировании деятельности патрульно-постовой службы от политической конъюнктуры и исторических событий, происходивших в государстве. Задачи исследования предполагают анализ основных актов, регламентирующих деятельность патрульно-постовой службы в России (начиная с 1917 года); отражение результатов деятельности подразделений, осуществляющих указанную службу, коррелирующихся с внесенными в правовые акты изменениями; выявление основных тенденций и закономерностей развития патрульно-постовой службы, сохраняющихся практически в неизменном виде на протяжении всей современной истории данной службы.
Выводы. История становления и развития патрульно-постовой службы в России начиная с 1917 года свидетельствует о том, что нормативные правовые акты любой сферы правоохранительной деятельности в той или иной мере зависят от требований своего времени. Вместе с тем, несмотря на влияние общественно-политических процессов, происходящих в государстве в какой-либо исторический период, на нормативное правовое регулирование патрульно-постовой службы полиции, она в силу типичности основной деятельности по выполнению задач на посту или маршруте патрулирования является достаточно стабильной.
Рассматривается участие полиции в реализации мер санитарно-эпидемиологического характера в исторической ретроспективе. Именно историко-правовое исследование обосновывает необходимость и целесообразность участия полиции в проведении санитарно-эпидемиологических мероприятий. Актуальность темы заключается в том, что распространение коронавирусной инфекции отразилось на деятельности полиции, сотрудники которой осуществляли ранее не свойственные им должностные обязанности, но выполняя одно из своих главных предназначений - охрану здоровья и жизни человека.
В результате изучения материалов были сформулированы особенности становления и развития санитарного законодательства; обобщены виды мероприятий санитарно-эпидемиологического характера, в реализации которых задействована полиция; предложена новая форма оказания содействия медицинским работникам со стороны должностных лиц полиции.
Цель исследования. Анализ полномочий полиции по реализации санитарно-эпидемиологических мероприятий с момента ее учреждения до настоящего времени, а также выявление основных причин и необходимости включения полиции в сферу санитарно-эпидемиологической деятельности.
Выводы. Основными направлениями деятельности полиции в обеспечении санитарно-эпидемиологической безопасности населения являются: 0беспечение общественной безопасности; пресечение незаконной торговли и распространения поддельных или некачественных товаров; борьба с преступлениями в сфере здравоохранения; беспечение соблюдения правил карантина и самоизоляции.
Статистика статьи
Статистика просмотров за 2025 год.
Издательство
- Издательство
- ФГКУ "ВНИИ МВД РОССИИ"
- Регион
- Россия, Москва
- Почтовый адрес
- Погорельский пер., 6
- Юр. адрес
- 123995, город Москва, Поварская ул., д.25
- ФИО
- Кожокарь Валерий Васильевич (НАЧАЛЬНИК)
- Контактный телефон
- +7 (495) 6913574