Статья: ОНТОГЕНЕТИЧЕСКИЕ ИЗМЕНЕНИЯ МЕХАНИЧЕСКОЙ УСТОЙЧИВОСТИ ОСНОВНЫХ ВИДОВ ДРЕВЕСНЫХ РАСТЕНИЙ В ЭКОСИСТЕМАХ ГОРОДА ДОНЕЦКА (2024)

Читать онлайн

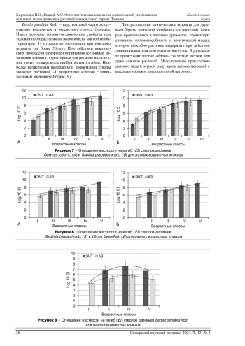
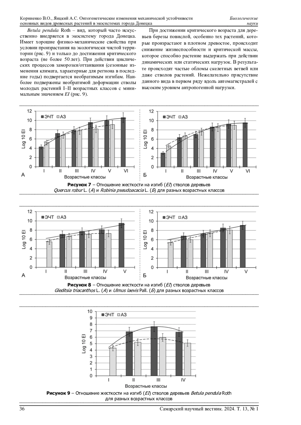
В работе рассмотрены вопросы онтогенетических изменений механической устойчивости 18 видов древесных растений, произрастающих в экосистемах промышленного города Донецка: Acer campestre L., Acer negundo L., Acer platanoides L., Acer pseudoplatanus L., Acer saccharinum L., Aesculus hippocastanum L., Betula pendula Roth, Fraxinus excelsior L., Fraxinus lanceolata Borkh., Gleditsia triacanthos L., Populus simonii Carriere, Populus nigra L., Populus balsamifera L., Populus bolleana Lauche, Quercus robur L., Robinia pseudoacacia L., Tilia cordata Mill., Ulmus laevis Pall. Установлено, что на начальных стадиях онтогенеза древесных растений их биомеханика обеспечивает выживание посредством высокой гибкости. Это связано с небольшой критической массой и нагрузкой, которые легко достигаются при действии на растение статических и динамических факторов. Лишь значительное увеличение линейных размеров позволяет удерживать собственную массу весом в несколько тонн и выше, а также выдерживать действие неблагоприятных климатических факторов. Исследованные онтогенетические зависимости механической устойчивости основных видов древесных растений в экосистемах города Донецка должны быть использованы при озеленении города.

Ключевые фразы: Донецк, дендроценозы, механическая устойчивость, возрастные изменения, жесткость на изгиб
Автор (ы): Корниенко Владимир Олегович, Яицкий Андрей Степанович
Журнал: САМАРСКИЙ НАУЧНЫЙ ВЕСТНИК

Предпросмотр статьи

Идентификаторы и классификаторы

SCI
Биология
УДК
577.3. Физико-химические основы жизни. Общая биофизика и биофизическая химия. Основные деления специальной биологии и областей ее применения
581.522. Индивидуальный образ жизни растения
Для цитирования:
КОРНИЕНКО В. О., ЯИЦКИЙ А. С. ОНТОГЕНЕТИЧЕСКИЕ ИЗМЕНЕНИЯ МЕХАНИЧЕСКОЙ УСТОЙЧИВОСТИ ОСНОВНЫХ ВИДОВ ДРЕВЕСНЫХ РАСТЕНИЙ В ЭКОСИСТЕМАХ ГОРОДА ДОНЕЦКА // САМАРСКИЙ НАУЧНЫЙ ВЕСТНИК. 2024. ТОМ 13, № 1
Текстовый фрагмент статьи