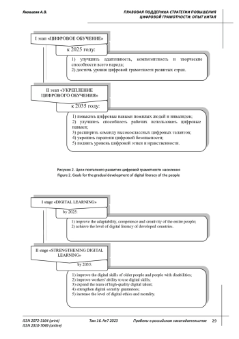
В последние годы цифровые технологии, представленные Интернетом, большими данными, облачными вычислениями, искусственным интеллектом, блокчейном, метавселенной и т. д., получили стремительное развитие и нашли широкое применение в общественном производстве и общественной жизни. Развитие цифровой экономики меняет и профессиональную структуру, и структуру знаний, и навыков. В этой связи цифровая грамотность становится для людей одним из базовых навыков адаптации к профессиональной и социальной жизни в цифровую эпоху. Повышение цифровой грамотности и навыков всего населения может способствовать инновационному применению технологий и в полной мере использовать новые преимущества технологического развития. Понимая необходимость улучшения цифровой грамотности, в 2021 году Центральный комитет по сетевой безопасности и информатизации Китайской Народной Республики опубликовал «План действий по повышению цифровой грамотности и навыков для всего населения» до 2035 года, который стал правовым фундаментом проекта цифрового Китая. В данном документе особое внимание уделяется созданию универсальной, справедливой и доступной системной цифровой инфраструктуры, повышению уровня сознательности цифровых граждан, их степени технологичного мышления, способности к постоянному обучению и чувству социальной ответственности в современном цифровом мире.
Идентификаторы и классификаторы
- SCI
- Право
В настоящее время происходит ускорение цифровой трансформации глобальной экономики. Цифровые технологии коренным образом изменили образ мышления, жизни, производства и обучения людей.
Список литературы
1. 	Яковлева А.В. К вопросу о сотрудничестве в сфере обеспечения информационной безопасности, кибербезопасности (правовой аспект) / А.В. Яковлева // Проблемы экономики и юридической практики. - 2020. - Том 16, N 6. - С. 139-147. EDN: YQSSFN	
Yakovleva A.V. On the issue of cooperation in the field of information security, cybersecurity (legal aspect) / A.V. Yakovleva // Issues of Economics and Legal Practice. - 2020. - Volume 16, N 6. - pp. 139-147.	
2. 	Яковлева А.В. Кибербезопасность и ее правовое регулирование (зарубежный и российский опыт) / А.В. Яковлева // Социально-политические науки. - 2021. - Том 11, N 4. - С. 70-81. -. DOI: 10.33693/2223-0092-2021-11-4-70-81 EDN: BPCMNR	
Yakovleva A.V. Cybersecurity and its legal regulation (foreign and Russian experience) / A.V. Yakovleva // Social and Political Sciences. - 2021. - Volume 11, N 4. - pp. 70-81. -. DOI: 10.33693/2223-0092-2021-11-4-70-81 EDN: BPCMNR	
3. 	Яковлева А.В. Правовое обеспечение кибербезопасности в Китае / А.В. Яковлева // Информационное право. - 2021. - № 2. - С. 37-40. -. DOI: 10.18572/1999-480X-2021-2-37-40 EDN: NCYMDX	
Yakovleva A.V. Legal foundations of ensuring cyber security in China / A.V. Yakovleva // Information law. - 2021. - № 2. - pp. 37-40. -. DOI: 10.18572/1999-480X-2021-2-37-40 EDN: NCYMDX	
4. 	Яковлева А.B. Проблемы правового обеспечения в становлении института кибергигиены / А.В. Яковлева // Вестник Университета имени О.Е. Кутафина (МГЮА). - 2023. - № 2. - С. 62-70. -. DOI: 10.17803/2311-5998.2023.102.2.062-070 EDN: GCWIUR	
Yakovleva A.V. Problems of legal support in the development of the institute of cyber hygiene / A.V. Yakovleva // Bulletin of the University named after O.E. Kutafin (MSAL). - 2023. - № 2. - pp. 62-70. -. DOI: 10.17803/2311-5998.2023.102.2.062-070	
5. 	Яковлева А.В. Проблемы правового регулирования информационной безопасности в условиях развития цифровой экономики / А.В. Яковлева. - Саратов: Амирит, 2021. - 272 с. EDN: JNYYOL	
Yakovleva A.V. Problems of legal regulation of information security in the context of the development of the digital economy / A.V. Yakovleva. - Саратов: Amirit, 2021. - 272 p.	
6. 	Яковлева А.В. Существует ли баланс нормативно-правовых положений в области защиты персональных данных и блокчейн технологии? (на примере анализа Закона о защите персональной информации Китайской Народной Республики) / А.В. Яковлева // Проблемы экономики и юридической практики. - 2023. - Т. 19. № 4. - С. 14-22. -. EDN: XUWTUG	
Yakovleva A.V. Is there a balance between regulations in the field of personal data protection and blockchain technology? (based on the example of the analysis of the Personal Information Protection Law of the People’s Republic of China) / A.V. Yakovleva // Problems of economics and legal practice. - 2023. - Vol. 19. № 4. - pp. 14-22. -. EDN: XUWTUG	
7. 	Яковлева А.В., Горшкова С.Б., Вакуленко П.С., Степанова Т.В. Цифровая экономика и формирование национальной системы информационной безопасности в России / А.В. Яковлева, С.Б. Горшкова, П.С. Вакуленко, Т.В. Степанова // Финансовая экономика. - 2019. - № 3. - С. 551-560. EDN: WLDVST	
Yakovleva A.V., Gorshkova S.B., Vakulenko P.S., Stepanova T.V. Digital economy and the formation of a national information security system in Russia / A.V. Yakovleva, S.B. Gorshkova, P.S. Vakulenko, T.V. Stepanova // Financial Economics. - 2019. - № 3. - pp. 551-560. EDN: WLDVST	
8. 	IMT-2030(6G)推进组官方发布《6G白皮书书》 - 2021.09.17. - [Электронный ресурс] - Режим доступа: URL: https://m.sohu.com/a/490543283_121124362?ivk_sa=1024320u#read (дата обращения: 10.06.2023). 	
IMT-2030(6G)推进组官方发布《6G白皮书书》 - 2021.09.17. - [Electronic resource] - Access mode: URL: https://m.sohu.com/a/490543283_121124362?ivk_sa=1024320u#read (access date: 10.06.2023). 	
9. 	提升全民数字素养与技能专家系列解读. 顺应数字时代潮流 加快提 升全民数字素养与技能. - 2022.08.30. - [Электронный ресурс] - Режим доступа: URL: http://www.yqnews.net/cms/show-55994.html (дата обращения: 10.06.2023). 	
提升全民数字素养与技能专家系列解读. 顺应数字时代潮流 加快提 升全民数字素养与技能. - 2022.08.30. - [Electronic resource] - Access mode: URL: http://www.yqnews.net/cms/show-55994.html (access date: 10.06.2023). 	
10. 	刘宝存 岑宇发布. 以数字素养框架推动数字化人才培养. -中国教育新闻网-中国教育报. - 2023.02.27. - [Электронный ресурс] - Режим доступа: URL: http://m.jyb.cn/rmtzgjyb/202302/t20230227_2111004461_wap.html (дата обращения: 10.06.2023).	
刘宝存 岑宇发布. 以数字素养框架推动数字化人才培养. -中国教育新闻网-中国教育报. - 2023.02.27. - [Electronic resource] - Access mode: URL: http://m.jyb.cn/rmtzgjyb/202302/t20230227_2111004461_wap.html (access date: 10.06.2023).	
11. 	提升全民数字素养与技能行动纲要. - 2021年11月09日. - [Электронный ресурс] - Режим доступа: URL: http://www.fjwx.gov.cn/yw/20211109/2542247.html?_x_tr_sch=http&_x_tr_sl=zh-CN&_x_tr_tl=ru&_x_tr_hl=ru&_x_tr_pto=nui,sc (дата обращения: 10.06.2023). 	
提升全民数字素养与技能行动纲要. - 2021年11月09日. - [Electronic resource] - Access mode: URL: http://www.fjwx.gov.cn/yw/20211109/2542247.html?_x_tr_sch=http&_x_tr_sl=zh-CN&_x_tr_tl=ru&_x_tr_hl=ru&_x_tr_pto=nui,sc (access date: 10.06.2023). 	
12. 	提升全民数字素养- 2023.04.07. - [Электронный ресурс] - Режим доступа: URL: https://cn.chinadaily.com.cn/a/202304/07/WS6448e758a310537989371ca8.html (дата обращения: 10.09.2023).	
提升全民数字素养- 2023.04.07. - [Electronic resource] - Access mode: URL: https://cn.chinadaily.com.cn/a/202304/07/WS6448e758a310537989371ca8.html (access date: 10.09.2023).	
13. 	以“长线思维“提升全民数字素养. - 2022.08.08. - [Электронный ресурс] - Режим доступа: URL: https://www.ts.cn/xwzx/shxw/202208/t20220808_8318952.shtml (дата обращения: 10.06.2023). 	
以“长线思维“提升全民数字素养. - 2022.08.08. - [Electronic resource] - Access mode: URL: https://www.ts.cn/xwzx/shxw/202208/t20220808_8318952.shtml (access date: 10.06.2023). 	
14. 	中央网络安全和信息化委员会印发《提升全民数字素养与技能行动纲要》- 2022.03.05. - [Электронный ресурс] - Режим доступа: URL: https://www.chinadata.cn/news/detail? firstCategory=2001&secondCategory=2010&id=10c0f95072cf49378dad01d1a1da6f80 (дата обращения: 10.09.2023). 	
中央网络安全和信息化委员会印发《提升全民数字素养与技能行动纲要》- 2022.03.05. - [Electronic resource] - Access mode: URL: https://www.chinadata.cn/news/detail?firstCategory=2001&secondCategory=2010&id=10c0f95072cf49378dad01d1a1da6f80 (access date: 10.09.2023).
Выпуск
Другие статьи выпуска
Статья посвящена исследованию актуальных вопросов раскрытия и расследования краж чужого имущества. Правоохранительные органы нашей страны (ведущую роль играет МВД России) ведут постоянную борьбу с данной категорией преступлений, но, несмотря на весь спектр предпринимаемых мер, количество этих преступлений все же остается достаточно значительным. При этом, преступные деяния, связанные с хищениями чужого имущества, в настоящее время имеют большое распространение по всей территории Российской Федерации, во всех ее субъектах, а значит объективной необходимостью в этих сложившихся условиях выступает постоянный поиск новых мер контроля и раскрытия преступлений, которые бы способствовали как их предотвращению, так и качественному, своевременному расследованию сотрудниками правоохранительных органов. Постоянный поиск наиболее эффективных и результативных подходов, способов и методов расследования краж как вида преступлений - это то направление, которое представляет большой интерес для значительного числа специалистов данного направления. Между тем, до настоящего времени данная проблема остается нерешенной и, как представляется, в обозримом ближайшем будущем разрешить ее не представляется возможным. Тем не менее, исследования в данной области должны продолжаться. Основой исследования послужили обширные статистические данные как в целом по стране, так и по Кабардино-Балкарской Республике в частности, которые охватили пятнадцатилетний период. Как результат исследования, установлены ключевые причины, которые способствовали стабилизации ситуации в Кабардино-Балкарской Республике на современном этапе и привели к сокращению совершения краж чужого имущества в динамике. Определено, что положительный опыт региона может найти применение и в других регионах Российской Федерации.
Цель заявленного исследования - провести мониторинг изменений, внесенных в текст российского уголовного закона и выявить основные тенденции уголовной политики за период апрель 2022 - сентябрь 2023 и оценить ее перспективность. В статье дается оценка законодательных новелл, появившихся в Уголовном кодексе РФ в период СВО, с позиции их целесообразности и качества юридической техники. Отмечается ряд знаковых тенденций в уголовном законе: расширение пределов уголовной ответственности за большое число посягательств, дифференциация ответственности. В исследовании применялись системный и структурный подходы; формально-юридический, социологический, формально-логический. В качестве вывода отмечается, что современные тренды уголовной политики с одной стороны, отражают своевременность реагирования законодателя на изменения социально-экономических условий в государстве, а с другой - не отвечают признаку системности, страдают низким качеством юридической техники.
В статье осуществляется оценка детерминант, обуславливающих социальную обусловленность и целесообразность введения в действующий Уголовный закон Российской Федерации ответственности по статье 2013 УК РФ - «Отказ или уклонение лица, подвергнутого административному наказанию, от заключения государственного контракта по государственному оборонному заказу либо договора, необходимого для выполнения государственного оборонного заказа». Автор проводит анализ нового состава преступления и формулирует выводы, определяющие необходимость и обоснованность введения уголовной ответственности за повторный акт совершения административного правонарушения, предусмотренного статьей 7.29.2. КоАП РФ. Автор отмечает, что представленные изменения уголовного закона существенно ужесточают уголовную ответственность за рассматриваемые деяния, при условии совершения первичного административного правонарушения, что переводит наступившие последствия в форме применения юридической ответственности к виновному лицу из ряда применения административных санкций, в плоскость уголовных правоотношений, что также обусловлено новыми вызовами и угрозами, которые находят отражение в современных реалиях развития Российской Федерации.
Цель исследования. В статье автор раскрывает сущностное понимание киберпреступности в российском и международном законодательстве, дает ее классификацию, анализирует основные направления общественных отношений в сфере противодействия криминальных посягательств на киберсреду. Проводит сравнительно-правовой анализ международных и российских норм, предусматривающих ответственность за совершение компьютерных преступлений, при этом учитывает подход к определению киберпреступности со стороны представителей отечественной науки. Целью исследования является определение проблемных вопросов противодействия данному виду преступности в условиях новых мировых политико-правовых реалий. Выводы. В результате проведенного исследования автор приходит к выводу о необходимости пересмотра, актуализации и унификации международного законодательства в области противодействия компьютерным преступлениям, при этом акцентирует внимание на организацию должного взаимодействия представителей правоохранительных органов иностранных государств и Российской Федерации по вопросам контроля оборота криптовалюты, на основе экстраполяции российского опыта в международное законодательство. Обращено внимание на необходимость постоянного мониторинга криминальной ситуации в области компьютерной преступности, ее прогнозирования и планирования правоохранительной деятельности, в том числе в области международного сотрудничества. Поскольку должный контроль и сдерживание данного вида преступности со стороны государства является залогом успешного ее функционирования и развития, способствует твердому его становлению на мировой арене, а также выступает гарантом спокойствия и экономической стабильности граждан Российской Федерации.
Цель исследования. Целью исследования выступает изучение процесса конституционализации и его влияния на процессуальную форму наложения ареста на имущество в уголовном судопроизводстве. Предметом исследования является развитие данной процессуальной формы на протяжении более 21 года, начиная с принятия УПК РФ (2001 г.). Авторы статьи обращают внимание на изменения законодательства, связанные с развитием процессуальной формы наложения ареста на имущество, а также на его связь с конституционными принципами. Исследование показывает, что конституционализация играет важную роль в развитии процессуальной формы наложения ареста на имущество. Она способствует установлению правового порядка, ограничению власти и защите прав и свобод граждан. Конституционализация также способствует стабильности и предсказуемости правовой системы, что важно для создания справедливого и равноправного общества. Выводы. Конституционный Суд РФ играет ведущую роль в процессе конституционализации, тогда как реакция законодателя запаздывает, что негативно сказывается на регулировании процессуальных отношений. Конституционализация процессуальной формы ареста на имущество основана на конституционном принципе неприкосновенности собственности и других конституционных нормах. Это приводит к перераспределению полномочий от органа расследования к суду, что обеспечивает баланс между частноправовыми и публичными интересами. Уголовно-процессуальная форма ареста на имущество обеспечивает процессуальные гарантии материальных прав собственников и является средством защиты этих прав. В дальнейшем необходимо разработать порядок преобразования уголовного-процессуального ареста в обеспечительные меры в гражданском судопроизводстве, когда в этом возникает необходимость.
В статье представлены результаты исследования нелегальной деятельности на финансовом рынке России в которой проведен анализ деятельности организованной преступности по созданию финансовых пирамид инвестиционных платформ, нелегальной деятельности в сфере кредитования и страхового рынка. Целью исследования является изучение финансового рынка России и влияние на уровень его безопасности деятельности организованной преступности. С развитием цифровой экономики и внедрением информационно-телекоммуникационных технологий в данной сфере, возросла возможность роста экономического и инновационного развития, укрепление финансовой составляющей государства. Вместе с тем при развитии экономической сферы возрастает угроза негативных проявлений, в том числе роста преступности, особенно ее организованной части на финансовом рынке. Усугубляет ситуацию тот факт, что современная организованная преступность отличается высокой сплоченностью преступных групп и сообществ, объединяющих большое количество лиц, способных установить контроль над различными системами жизнедеятельности общества и государства, входящими не только в сектор бизнеса и коммерции, но и в бюджетный сектор, где продолжая устанавливать монопольный контроль. В заключении авторы приходят к выводу о том, что на финансовом рынке российского государства не в полном объеме используются средства обеспечения криминологической безопасности финансового рынка.
В статье рассмотрены вопросы, связанные с совершением насильственных преступлений в виртуальном пространстве в отношении несовершеннолетних. Развитие интернет-технологий обусловило проникновение преступников в цифровую среду. Актуальность настоящего исследования обосновывается ростом противоправного насильственного, агрессивного и жестокого контента в сети «Интернет», оказывающего негативного влияние на несовершеннолетних, распространением порнографических материалов, в том числе и с участием подростков. Особо острой проблемой остается сексуальное насилие над несовершеннолетними с применением информационно-цифровых технологий. Авторы приходят к выводу о том, что необходимо разработать как на национальном, так и на международным уровне эффективный механизм противодействия насилию и сексуальному насилию, усилить контроль за распространением вредоносного контента в сети «Интернет».
В статье исследуются вопросы общих мер предупреждения профессиональной преступности, где в отличие от специальных и организационных мер, общие меры предупреждения на уровне общего предупреждения преступности определяют задачи профилактической деятельности и пути их решения в целом. Так как основной формой предупредительной деятельности в системе предупреждения профессиональной преступности является профилактика, которая имеет комплексный характер. Это предполагает использование в целях предупреждения противоправного поведения не только правовых, но и экономических, организационно-управленческих, культурно-воспитательных и иных средств и методов. Целью представленного исследования является рассмотрение возникающих в данной сфере вопросов, касающихся индивидуальной профилактики по отношению к профессиональным преступникам, т. е. исправление и перевоспитание этих лиц либо изменение криминогенных тенденций развития их личности. Отсюда вытекает необходимость решения задачи установления закономерностей отклоняющегося поведения, механизма его формирования и изменения. Для этого требуется усилить контроль за лицами ранее судимыми, поведение и взгляды которых свидетельствуют о возможности совершения ими новых преступлений. На основании исследования авторы приходят к выводу, что общее предупреждение профессиональной преступности включает в себя профилактику, данных преступлений, осуществляемое органами, организациями и учреждениями, имеющими на это права и обязанности.
ЦИФРОВАЯ КРИМИНАЛИСТИКА КАК ДЕЙСТВЕННАЯ ФОРМА ПРОТИВОДЕЙСТВИЯ РОСТУ И РАСШИРЕНИЮ КРИМИНАЛЬНОГО СПЕКТРА КИБЕРПРЕСТУПНОСТИ
В настоящей статье дается общая характеристика уголовного наказания в виде лишения свободы. Рассматриваются новеллы уголовного закона, касающиеся лишения свободы, с примерами из судебной практики. Анализируются вопросы дальнейшей гуманизации данного наказания с учетом судебной практики. Предлагаются меры по совершенствованию норм, регулирующих уголовное наказание в виде лишения свободы. Поднимается вопрос пожизненного лишения свободы и проблемы отбывания такого наказания. Также в статье рассмотрены меры по повышению эффективности назначения уголовного наказания в виде лишения свободы.
В статье анализируются актуальные вопросы и проблемы судебного контроля при избрании залога в качестве меры пресечения. Автор детально рассматривает особенности судебной практики по данному вопросу, указывает на пробелы в законодательстве, порождающие проблемы в применении залога на практике. В статье также делаются некоторые предложения по совершенствованию законодательства по указанной тематике, в частности по внесению изменений в ст.106 УПК РФ
Цели публикации - разработка вопросов, касающихся повышения предупредительного потенциала отдельных норм о соучастии в преступлении. Выводы, полученные в ходе исследования. Результаты исследования показывают, что ряд норм о соучастии в преступлении нуждаются в совершенствовании, т. к. их содержание не соответствует современным задачам противодействия преступности (в частности, ее организованных форм проявления). Научное значение публикации. Авторы попытались по новому подойти к повышению предупредительных возможностей ряда норм о соучастии в преступлении в целях борьбы с наиболее опасными формами преступных посягательств. Практическое значение публикации. Реализация идей, изложенных в статье, по мнению ее авторов, позволит более активно использовать предупредительный потенциал, заложенный в нормах о соучастии в преступлении.
Цель исследования. В статье рассматриваются проблемы правоприменительной практики в сфере квалификации деяний, связанных с дискредитацией использования Вооруженных сил Российской Федерации. Актуализируются вопросы эффективного использования потенциала юридической техники в уголовном законодательстве. Устанавливаются взаимосвязи между соблюдением устоявшихся традиций конструирования уголовно-правовых норм и точностью, последовательностью и доступностью выражения воли законодателя. Целью исследования является установление особенностей конструкций норм УК РФ, предусматривающих ответственность за умышленные действия, направленные на искажение информации (придании ей ложного характера) об использовании ВС РФ, и иных субъектов, вовлеченных в орбиту обеспечения защиты интересов Российской Федерации и ее граждан. Вывод. Исходя из результатов проведенного исследования, авторы приходят к выводу о том, что при конструировании новых норм уголовного законодательства необходимо придерживаться более традиционного подхода, исходя из правил юридической техники, что способствует формированию однородной правоприменительной практики и минимизирует случаи субъективного толкования таковых норм. Определяется не только необходимость проведения дальнейших исследований, детерминированных современными угрозами национальной безопасности, но и раскрываются перспективы дальнейшего исследования проблем, связанных с дискредитацией в уголовном праве России.
Цель исследования. Последние пол века ученые и практики ломают голову над проблемой минимизации следственных ошибок. Да, объективно, их (ошибок) становится меньше, но фактически это связано с общей тенденцией снижения количества совершенных преступлений, а потому поводом для успокоения быть не может. От этих негативных примеров из практики страдают и участники уголовного судопроизводства, и репутация органов правоохраны. Что делать, как быть, что предпринять - вот те вопросы, которые постоянно задаются в ходе осуществления судебного контроля, прокурорского надзора, а также ведомственного (процессуального) контроля. В данной статье мы рассмотрели основные следственные ошибки через призму примеров прокурорско-следственной-судебной деятельности, а также дали свои рекомендации по оптимизации предварительного расследования. Автор делает вывод, что качественная деятельность - это, прежде всего, совместная деятельность всех причастных должностных лиц и органов, которая должна осуществляться во взаимодействии в целях борьбы с преступностью. Данная публикация будет интересна как обучающимся на юридических факультетах, так и ученым, и практическим работникам.
В статье рассмотрены актуальные аспекты предмета получения взятки как конститутивного признака конструкции состава данного преступления. Уголовным законодателем достаточно точно определяется предмет получения взятки, в качестве которого выступают различные типы экономических благ. Развитие современных экономических отношений приводит к появлению новых типов хозяйственных благ, которые указывают на необходимость конкретизации отдельных финансовых активов в качестве предмета получения взятки. В статье сделан акцент на крипотовалюте и иных цифровых финансовых активов, которые могут выступать в качестве предмета получения взятки. Отсутствие на сегодняшний день релевантных примеров судебного правоприменения делает необходимым совершенствование правовой квалификации передачи криптовалюты и цифровых финансовых активов в качестве предмета получения взятки.
В юридической литературе проблемы теоретико-правового осмысления воздействия в уголовно-правовой сфере приобретают все большую актуальность, поскольку отсутствие легального толкования «уголовно-правового воздействия» вызывает множество дискуссии в научной среде относительно его места и роли в системе противодействия преступности и профилактике правонарушений. Уголовно-правовое воздействие выступает реакцией государства на акт совершения преступления и на преступность в целом, однако воздействие может оказываться и на законопослушных граждан. В этой связи можно говорить о том, что уголовно-правовое воздействие оказывает как негативное, так и позитивное влияние на личность. Обязательной составляющей уголовно-правового воздействия является профилактико-предупредительная деятельность, которая направлена на снижение негативного влияния факторов, способствующих развитию преступности в Российской Федерации. В настоящей статье анализируются сущность и содержание уголовно-правового воздействия, его цели и задачи, в результате чего автором формулируются сущностные характеристики исследуемой правовой категории. Рассматривается также субъектный состав воздействия в уголовно-правовой сфере, а также объект такого воздействия. Анализируя представленные в научной литературе точки зрения на рассматриваемые вопросы, автор не опровергает их, но при этом приводит объективные доводы в обоснование собственной позиции относительно теоретико-правового обоснования воздействия в уголовно-правовой сфере.
Исследованы криминологические основания и предыстория принятия Федерального закона от 10 июля 2023 г. № 323-ФЗ, которым введена ответственность за незаконную коллекторскую деятельность, связанную с возвратом просроченной задолженности физических лиц в нарушение установленных правил погашения такой задолженности (ст. 1724 УК РФ). Исследованы признаки состава незаконной коллекторской деятельности, относящиеся к объекту, объективной и субъективной сторонам, субъекту соответствующего преступления. Рассмотрены спорные вопросы толкования указанных признаков, обусловленные недостатками юридической техники запрета на незаконную коллекторскую деятельность. Автор формулирует частные правила квалификации незаконной коллекторской деятельности и отграничения ее от смежных преступлений, вносит предложения, направленные на обеспечение единообразия правоприменительной практики по уголовным делам о незаконной коллекторской деятельности, а также не совершенствование уголовно-правового запрета на такую деятельность.
Статья посвящена актуальной проблеме домашнего насилия, которая приводит к попыткам суицида среди подростков. Семейно-бытовые конфликты, происходящие в семье, деструктивно влияют на ребенка и приводят к потере эмоциональной стабильности, к негативным мыслям и как результат несвоевременного включения в этот процесс специальных служб - к фактам суицида среди несовершеннолетних. Сложность заключается в отсутствии законодательно закрепленного механизма социально-правовой защиты от насилия в семье и выявления подростков, попавших в сложную жизненную ситуацию. В рамках статьи поднимается вопрос о возможности введения в практику профилактической работы суицидальных служб, которые поменяли бы данные факты в лучшую сторону и снизили процент суицидов среди подростков, оказавшихся в психолого-эмоциональном тупике. Исследование могло бы быть полезно для законодателей и профессионалов, имеющих опыт работы с лицами, имеющими попытки суицида.
Задача совершенствования механизма платежно-расчетных отношений между государствами - членами ЕАЭС на базе расширения использования национальных валют во взаимных расчетах определена Договором о Евразийском экономическом союзе от 29 мая 2014 года, (далее - Договор 2014г.) а также в ряде иных программных и концептуальных документов ЕАЭС. Согласно Концепции формирования общего финансового рынка, сотрудничество по вопросам развития общего платежного пространства основывается на принципах национальной безопасности, независимости и равенства национальных платежных систем. Вместе с тем ограничения, введенные третьими странами, непосредственно влияют на сроки проведения и стоимость трансграничных платежей в рамках ЕАЭС. Поэтому важно обеспечить бесперебойное и бесшовное проведение платежей как между странами ЕАЭС во взаимной торговле, так и на «внешнем периметре» - с третьими странами - ключевыми и потенциально значимыми торговыми партнерами. Эта задача может быть решена в том числе посредством новой платежно-расчетной инфраструктуры ЕАЭС, сформированной на базе перспективных финансовых технологий: цифровых валют центральных банков, смарт-контрактов и пр. Важную роль в реализации этих проектов могут сыграть межгосударственные евразийские институты развития. Важный элемент формирования нового механизма платежно-расчетных отношений стран ЕАЭС - обеспечение прав и законных интересов инвесторов и потребителей финансовых услуг. В этой связи гарантии безопасности финансовых операций для населения приобретают приоритетное значение.
Цель исследования. Отсутствие системного правового регулирования вопросов ответственности, в том числе гражданско-правовой, в актах жилищного законодательства, фрагментарный характер их исследования в современной науке жилищного права предопределяют необходимость выявления специфики гражданско-правовой ответственности при различных нарушениях жилищных прав. В условиях непрерывного изменения жилищного законодательства и развития судебной практики, расширения сферы применения гражданско-правовых средств и усиления межотраслевого взаимодействия, несомненно актуальной видится дальнейшая разработка теории гражданско-правовой ответственности при нарушении жилищных прав. В статье рассматриваются различные виды гражданско-правовой ответственности в жилищной сфере, имеющей большое социальное значение, проводится их систематизация, выявляются проблемы привлечения к гражданско-правовой ответственности субъектов жилищных правоотношений в случае неисполнения либо ненадлежащего исполнения ими своих обязанностей. Целью исследования является комплексный анализ применения института гражданско-правовой ответственности в жилищной сфере, выявление особенностей гражданско-правовой ответственности при нарушении жилищных прав. Выводы. В результате проведенного исследования автор приходит к выводу, что гражданско-правовая ответственность в жилищной сфере - это обеспеченное государственным принуждением возложение на участников жилищных правоотношений дополнительных неблагоприятных последствий имущественного характера посредством применения имущественных санкций за совершение ими жилищных правонарушений, направленных на восстановление нарушенных жилищных прав потерпевших или предупреждение их нарушения. Гражданско-правовая природа значительного массива жилищных отношений создает потенциальную возможность масштабного применения гражданско-правовых средств, в том числе такого важнейшего как гражданско-правовая ответственность. Применяемые меры гражданско-правовой ответственности за правонарушения в жилищной сфере испытывают обратное воздействие со стороны отраслевых особенностей жилищного права. Специфика гражданско-правовой ответственности при нарушении жилищных прав обусловлена особенностями правового режима жилого помещения, выступающего одновременно объектом жилищных и гражданских правоотношений, и заключающихся в значительном количестве законодательных требований к самим жилым помещениям. Правовой режим жилого помещения предопределяет преимущественно императивно установленный законом характер гражданско-правовой ответственности, проявляющийся как в установлении формы ответственности, так и ее размера. Основанием для привлечения к гражданско-правовой ответственности в жилищной сфере является неисполнение или ненадлежащее исполнение субъектами обязанностей, входящих в содержание вещных, обязательственных или корпоративных правоотношений, объектом которых выступает жилое помещение. Гражданско-правовая ответственность в жилищной сфере может носить не только восстановительный характер, направленный на восстановление нарушенных жилищных прав, но и пресекательный характер в виде лишения или ограничения субъективного жилищного права, если при использовании жилого помещения нарушаются его качественные характеристики как объекта жилищных прав. Большинство мер гражданско-правовой ответственности направлены на обеспечение сохранности и поддержание жилого помещения в пригодном для использования по назначению состоянии. Дальнейшее совершенствование охранительных норм жилищного законодательства о гражданско-правовой ответственности будет способствовать эффективной защите жилищных прав от нарушений.
В данной статье исследуются особенности правового регулирования судебных споров, связанных с воспитанием и общением детьми после бракоразводного процесса. Авторы анализируют различные аспекты, включая установление места жительства ребенка, решение вопросов, касающихся общения с родителями и другими родственниками, а также учет его интересов и мнения. Выводы основываются на обзоре существующего законодательства, судебной практики и академических исследований в области семейного и гражданского права. Авторы выделяют ключевые принципы и нормы, которые должны учитываться при разрешении споров о детях, такие как: принципы наилучших интересов ребенка, равноправие родителей и соблюдение прав ребенка на общение с обоими родителями. Исследователи рассматриваются различные подходы к разрешению споров о детях, включая судебное разбирательство, медиацию и альтернативные способы разрешения конфликтов. Акцентируя внимание на совершенствовании законодательства и судебной практики в нашей стране для обеспечения справедливого и эффективного регулирования подобных споров, с учетом особенностей конкретной ситуации и потребностей каждого ребенка. Целью настоящей статьи является определение баланса правовых механизмов защиты прав ребенка при расторжении брака его родителями.
Цель исследования. В настоящей статье исследуются предпосылки и перспективы использования реестровой модели с целью обеспечения безопасного, рационального использования и охраны недр. С учетом новой парадигмы осуществления контрольной (надзорной) деятельности автор акцентирует внимание на репутационный эффект предлагаемых к созданию реестров, необходимости отсутствия их карательной составляющей. Выводы. В результате проведенного исследования предлагается создать реестры добросовестных и недобросовестных пользователей недр и в перспективе объединить их с реестром недобросовестных участников аукционов в рамках единой системы с целью формирования более объективной картины деятельности не только соискателей на получение лицензии, но и пользователей недр с точки зрения соблюдения ими обязательных требований законодательства о недрах. При создании реестра недобросовестных пользователей недр рекомендуется принять предлагаемые меры, направленные на обеспечение надлежащего и справедливого порядка ведения данного реестра. При создании реестра добросовестных пользователей недр целесообразно учитывать критерии добросовестности пользователя недр в рамках мер стимулирования добросовестности.
В статье представлен краткий обзор различных видов правовых обязанностей граждан в области обеспечения биологической безопасности. Раскрываются их комплексный характер и взаимосвязанность с этическими обязанностями. Целью исследования является анализ законодательства Российской Федерации, регулирующего правоотношения связанные с установлением обязанностей граждан в области обеспечения биологической безопасности. Выводы полученные в ходе исследования. По итогам проведенного анализа авторами определены основания классификации и основные направления совершенствования системы правовых обязанностей граждан в области обеспечения биологической безопасности.
Цель исследования. Важнейшим составляющим элементом власти в государстве выступает контроль, способствующий реализации проверки и, самое главное, устранению нарушений законодательства, ликвидированию несоответствия нормативных правовых актов и решений, а также наблюдению за деятельностью органов и должностных лиц на всех уровнях власти. Контроль представляет собой проверку исполнения принятых решений, цель которой состоит в выявление недостатков управленческой деятельности, в устранение причин их возникновения. Также контрольная деятельность включает в себя систему мероприятий по наблюдению и проверке процесса функционирования объекта, с целью устранить отклонения от определенных параметров. Таким образом, вполне очевидна актуальность научной работы, посвященной исследованию актуальных проблем государственного и муниципального контроля. Выводы. В результате проведенного исследования авторы пришли к мнению о том, что в Федеральном законе от 31 июля 2020 г. № 248-ФЗ «О государственном контроле (надзоре) и муниципальном контроле в Российской Федерации» и иных федеральных законах, регулирующих особенности, порядок реализации контрольной деятельности как на федеральном уровне, так и на местном содержатся определенные проблемы. Имеющиеся недоработки усложняют процесс реализации правовых норм, создают преграду в правильном понимании особенностей реализации государственного и муниципального контроля. Отсутствие стабильности и полноты в правовом регулировании, наличие сложной нормативной базы, длительные временные этапы реформирования контрольной деятельности не позволяют в полной мере раскрыть и реализовать качественный, эффективный государственный и муниципальный контроль.
Цель исследования. Выявить актуальные проблемы правовой регламентации социально-обеспечительных правоотношений в области пенсионного обеспечения граждан, работающих и проживающих в особых природно-климатических условиях, сформулировать предложения, направленные на совершенствование российской пенсионной системы. Процедура и методы. В исследовании использовались общенаучные (анализ и синтез) и частнонаучные (исторические, формально-юридические и сравнительно-правовые) методы познания правовой реальности. Выводы. На основе детального исследования теоретических и практических проблем пенсионного обеспечения граждан, проживающих в особых природно-климатических условиях, были сформулированы предложения, направленные на необходимость разграничения «страхового стажа» и «северного стажа», лежащих в основе установления северных пенсий, а также на справедливую оценку «северного стажа» при назначении таких пенсий. Теоретическая и/или практическая значимость. Выводы, сделанные в ходе исследования могут быть использованы в целях модернизации российского законодательства о пенсионном обеспечении, а также для предупреждения возможных коллизий в правовом регулировании социально-обеспечительных правоотношений.
Статья посвящена особенностям правовой регламентации социально - обеспечительных отношений с участием лиц, самостоятельно обеспечивающих себя работой, в частности, отношений, связанных с назначением страховых пособий как вида социально- обеспечительных предоставлений в праве социального обеспечения. Цели и задачи заявленной темы исследования разрешаются в контексте авторской классификации самозанятых лиц, которая произведена со ссылкой на действующее российское законодательство. Анализируются особенности правоотношений по обязательному социальному страхованию на случай временной нетрудоспособности и в связи с материнством с участием лиц, самостоятельно обеспечивающих себя работой в рамках Закона от 29. 12.2006 г. № 255-ФЗ. Акцентируется внимание на проблеме определения момента возникновения юридического факта застрахованности самозанятых лиц. Анализируется судебная практика, связанная с определением права на страховые пособия в первом календарном году вступления самозанятых в правоотношения по данному виду обязательного социального страхования. В результате исследования автор приходит к выводу о необходимости совершенствования законодательства с целью создания правовых условий для распространения упомянутого закона на иные категории (группы) самозанятых лиц, в частности на лиц, выступающих в качестве плательщиков налога на профессиональный доход.
Цель исследования. Статья посвящена территориальной организации местного самоуправления в России. Представляются доктринальные подходы к определению территориальной организации местного самоуправления. Изучаются правовые подходы к закреплению территориальной организации местного самоуправления. Рассматриваются особенности развития территориальной организации местного самоуправления, показываются особенности организации территориальной организации местного самоуправления в ряде зарубежных государств. Целью исследования является изучение территориальной организации местного самоуправления в России. В статье используются диалектический, исторический, формально-юридический, логический, сравнительно-правовой и другие методы познания. Выводы. Для местного самоуправления важной составляющей его эффективного функционирования и создания возможностей для всех граждан реализации права на осуществление местного самоуправления является его территориальная организация. Правильный выбор (одноуровневый, многоуровневый) подход территориальной организации местного самоуправления должен исходить от потребностей самого населения и сложившейся системы территориальной организации в каждом субъекте Российской Федерации. Современное развитие местного самоуправления в России будет еще более эффективным, если использовать накопленный позитивный опыт, в том числе и в территориальной организации.
Цель исследования. Поскольку граждане за счет собственного имущества уплачивают налоги, являющиеся главной финансовой основой существования государства, постольку государство как зависимое об общества политико-правовое образование должно честно и непрерывно создавать условия, в которых жизнь, здоровье и достоинство человека являются наивысшей ценностью. При этом декларируемые государством результаты своей деятельности должны быть не мнимыми, а достоверными и проверяемыми, то есть такими, которые были бы способы реально создать в сознании налогоплательщика видение таких явных преимуществ уплаты налогов, которые перекрывали бы саму возможность зарождения и развития умысла уклониться от их уплаты. На это направлена профилактика совершения налоговых правонарушений, особенности которой рассмотрены в настоящей статье. Выводы. Доказана важность внедрения в цивилизованном и демократическом государстве профилактики налоговых правонарушений, в связи с чем обоснована необходимость смещения в налоговом процессе акцента с контрольно-наказывающей функции налоговых органов на функцию профилактики совершения налоговых правонарушений для повышения доверия между государством и обществом. Предложено разделение налогоплательщиков на три целевые группы и сформулировано содержание профилактических мероприятий для каждой выделенной группы.
В настоящей статье рассмотрена правоприменительная практика, применение норм права, содержащих акцессорные обязательства. Актуальность тематики статьи определена тем, что в законодательстве России термины «акцессорность», «акцессорное обязательство» не используются. В связи с чем в основу анализа понятия и сущности акцессорных обязательств может быть положено, в том числе, доктринальное толкование рассматриваемого понятия, его историко-правовые корни, а также его использование в том или ином контексте в актах национальных судебных органов. Рассмотрены акты высших судов, правоприменительная практика. Сделаны выводы: Созданный определением от 14.06.2016 № 308-ЭС16-1443 по делу № А61-2409/2010 прецедент до настоящего времени не получил распространения по аналогии на схожие правоотношения, в которых основное обязательство прекращается или изменяется независимо от воли кредитора, в силу закона. Противоречивая судебная арбитражная практика обостряет исходную проблему - отсутствие, как в законодательстве, так и в самой судебной практике, определения и признаков акцессорного обязательства. Вместе с тем, не следует отрицать того, что именно судебная практика в значительной мере сегодня заполнят существующую нишу, ставшую следствием незавершенности законодательного регулирования.
Рассматриваются обязанности полиции, предусмотренные второй главой проекта Устава Полицейского, разработанного комиссией сенатора А. А. Макарова (1906-1913 гг.). Они были направлены на обеспечение порядка и благочиния при проведении различных религиозных мероприятий, проводимых в храмах, молитвенных домах, а также территориях, прилегающих к ним. Показываются особенности такой деятельности при осуществлении крестных ходов, религиозных процессий, паломничеств, встреч и проводов святых икон и иных религиозных торжеств, а также наблюдений за колокольным звоном как средства оповещения верующих. Значительное место отводится сравнению с нормами Устава предупреждения и пресечения преступлений 1882 г., Уголовного Уложения 1903 г., итальянского закона 23 декабря 1888 г. об общественной безопасности, согласованного с уголовным уложением 1 января 1890 г, Федерального закона Российской Федерации «О полиции».
Издательство
- Издательство
- ИЗДАТЕЛЬСКИЙ ДОМ ЮР-ВАК
- Регион
- Россия, Москва
- Почтовый адрес
- 119607, г. Москва, ул. Раменки, 21 / 282
- Юр. адрес
- 121069, г Москва, р-н Арбат, ул Поварская, д 23А, кв 21
- ФИО
- Ястребова Елена Владимировна (ГЕНЕРАЛЬНЫЙ ДИРЕКТОР)
- Контактный телефон
- +7 (___) _______
 
                             
                             
                             
                             
                             
                             
                             
                     
                             
                             
                             
                             
                             
                             
                             
                             
                             
                             
                             
                             
                             
                             
                             
                             
                             
                             
                             
                             
                             
                             
                             
                             
                             
                             
                             
                             
                            