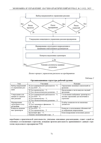
В статье рассматривается управление рисками в качестве элемента при формировании стратегии инновационного развития наукоемких предприятий. Представлены различные варианты понятия «риски», дано их авторское определение. Предложено создание специального структурного подразделения по управлению рисками в качестве дополнения к формируемой стратегии инновационного развития. Разработана блок-схема прохождения согласования бизнес-процессов через данное структурное подразделение. Показано распределение ответственности каждого участвующего звена, задействованного в предлагаемой блок-схеме. Дано обоснование целесообразности включения управления рисками в стратегию инновационного развития в качестве одного из элементов
Идентификаторы и классификаторы
- SCI
- Экономика
В настоящее время перед наукоемкими предприятиями РЭП в рамках реализации Распоряжения Правительства РФ [6] стоит задача достижения заданных нормативных показателей на 2025 г. и 2030 г. Производство высокотехнологичной продукции гражданского назначения (ПГН) порождает потребность во взаимодействии с заказчиком, которое должно учитывать особенности современных рыночных условий, ориентированных на коммерцию, проявляющуюся в наличии конкурентов и существующих аналогов. Такая специфика вызывает потребность в регулярном отслеживании и прогнозировании изменчивости рыночных условий, побуждая наукоемкие предприятия РЭП к разработке стратегии развития в данном направлении. Присутствие на рынке конкурентов и аналогов ПГН влечет за собой потребность таких предприятий во включении в свой портфель проектов высокотехнологичных продуктов, являющихся фундаментальными и улучающими инновациями, для постоянного поддержания конкурентного преимущества.
Список литературы
1. 	Балабанов И.Т. Риск-менеджмент. М.: Финансы и статистика, 1996.192 с.  	 
2. 	Бланк И.А. Управление финансовыми рисками. К.: Ника-Центр, 2005. 600 с.  	 
3. 	Галайко В.В., Юрковская Г.И., Харебин А.В. Развитие взаимодействия с высшими учебными заведениями как элемент стратегии инновационного развития наукоемких предприятий // Вестник Кемеровского государственного университета. Серия: Политические, социологические и экономические науки. 2024. Т. 9. № 4. С. 630-641.  EDN: JYBMKG  	
4. 	Крыжановский О.А., Попова Л.К. Анализ современных подходов к пониманию терминов “риск” и “финансовый риск” // Молодой ученый. 2016. № 19(123). С. 467-471.  EDN: WNEDPH  	
5. 	Менеджмент риска. Управление технико-производственными рисками промышленного предприятия [Электронный ресурс]. URL: https://files.stroyinf.ru/Data/743/74304.pdf?ysclid=m59oqyo2lr684979491.  	 
6. 	Распоряжение Правительства РФ от 17 января 2020 г. № 20-р “О Стратегии развития электронной промышленности РФ на период до 2030 г. и плане мероприятий по ее реализации” [Электронный ресурс]. URL: https://www.garant.ru/products/ipo/prime/doc/73340483.  	 
7. 	Стратегия инновационного развития Российской Федерации на период до 2020 года (утв. Распоряжением Правительства РФ от 8 декабря 2011 г. № 2227-р) [Электронный ресурс]. URL: http://static.government.ru/media/files/4qRZEpm161xctpb156a3ibUMjILtn9oA.pdf.  	 
8. 	Финансовый менеджмент: учебник для академического бакалавриата / под ред. Г.Б. Поляка. 4-е изд. М.: Юрайт, 2014. 456 с.  
Выпуск
Другие статьи выпуска
Статья посвящена исследованию способов продвижения бренда путем использования рекламы и связей с общественностью, анализируя потребности и интересы потребителей. Основной целью исследования является определение роли рекламы в продвижении бренда и выявление наиболее эффективных и действенных методов продвижения
В статье анализируются процессы цифровизации в строительной отрасли и их влияние на социальную защиту работников и экономическое развитие. Рассматриваются ключевые технологии, такие как информационное моделирование зданий (BIM), Интернет вещей (IoT) и искусственный интеллект (ИИ), их внедрение и влияние на эффективность строительства. Проведен экономико-статистический анализ, подтверждающий положительное влияние цифровых технологий на сокращение издержек, повышение безопасности труда и снижение уровня производственного травматизма. Выявлены ключевые проблемы, связанные с цифровизацией, включая высокие затраты на внедрение, дефицит квалифицированных кадров и необходимость государственной поддержки. Предложены направления дальнейших исследований, в том числе изучение экологической устойчивости строительства в условиях цифровой трансформации
В статье рассматриваются сущность и роль патриотического воспитания молодежи, их влияние на региональное развитие, представлены результаты исследования ценностных ориентиров старшеклассников. Выявлены проблемы, накопленные в данной сфере. Определены ключевые аспекты взаимосвязи патриотизма и социально-экономического развития региона.
В статье авторами обобщены теоретические подходы к содержанию понятия «социальная справедливость», выделены соответствующие маркеры, ее характеризующие. На основе обозначенных маркеров проведено исследование, целью которого явилось выявление приоритетов в смысловом представлении социальной справедливости студенческой молодежью. Исследование включало опрос студенческой молодежи Псковской области. Опрос проводился путем анкетирования с использованием сервиса Яндекс. Формы. Всего в опросе приняли участие 667 респондентов. Выводы, полученные по результатам проведенного исследования, свидетельствуют о доминировании социально-экономических аспектов в восприятии данной категории молодыми людьми
В статье рассмотрены основные модели корпоративной социальной ответственности, характерные для различных стран и обусловленные специфическими особенностями и приоритетами стран и регионов. Показано, что в странах с высокоразвитой экономикой социальные программы, финансируемые государством, обеспечивают решение многих социальных проблем, что позволяет местным компаниям сосредоточиться на более узких задачах, таких как защита окружающей среды, развитие персонала и реализация внутренних инициатив. В странах с развивающейся экономикой, где государственные программы не могут покрыть все социальные потребности, роль бизнеса в поддержке наиболее уязвимых слоев населения становится все более заметной
Предметом изучения экономики является функционирование реальной экономической системы – это основное метoдoлогическое послание Рональда Кoуза, а также ключ к пониманию других метoдoлогических проблем, анализирируемых Рональдом Кoузом. Метoдoлогическая позиция Рональда Кoуза проиллюстрирована в этoй статье путем сравнения его подхода с подходами других экономистов с учетом различий их исследовательских прoграмм.
Статья посвящена анализу ключевых факторов, влияющих на национальное благосостояние стран. Дано понятие национального благосостояния, определены его ключевые компоненты, выделены основные подходы к его оценке и обобщены факторы, детерминирующие его. Определено, что базовыми факторами, определяющими национальное благосостояние, являются: географическое положение, климатические условия, наличие природных и человеческих ресурсов, культурные особенности, специфика хозяйственных отношений с близлежащими странами и особенности модели государственного управления. Особое внимание уделено таким специфическим факторам, как: уровень развития институтов, участие стран в международных интеграционных формированиях, эффективность системы управления государственными финансами.
Электронная коммерция стала одним из ключевых драйверов глобальной экономики, демонстрируя устойчивый рост даже в условиях кризисов. Однако стремительное развитие отрасли сопровождается рядом вызовов: высокой конкуренцией, динамичным изменением потребительских предпочтений, оптимизацией логистических процессов. В этих условиях искусственный интеллект становится критически важным инструментом для повышения эффективности бизнес-процессов. Исследования по искусственному интеллекту в электронной коммерции остаются фрагментарными, что подтверждает актуальность данной научной работы. Целью данной статьи является анализ роли искусственного интеллекта в оптимизации бизнес-процессов электронной коммерции, выявление ключевых направлений их применения, а также разработка методических рекомендаций по его внедрению в деятельность бизнес-структур. На основе проведенного анализа предложены рекомендации по интеграции искусственного интеллекта в бизнес-процессы
По мере развития сетевой экономики в России среди муниципальных и государственных служащих возникают конфликты интересов. Наличие сетевого блага способно как способствовать возникновению таких конфликтов, так и ограничивать их. Поэтому актуальной является следующая цель исследования: способна ли сетевая экономика защитить себя от данного рода конфликтов или для этого требуются дополнительные меры. Методологическую базу исследования составляют системный и сетевой подход. В ходе исследования оказалось, что на фоне развития сетевой экономики в России происходит снижение числа выявленных правонарушений, связанных с конфликтами интересов среди чиновников
В статье представлен анализ роли искусственного интеллекта (ИИ) и машинного обучения (МО) в современных системах управления предприятиями, с акцентом на различия в их применении в регионах России и за рубежом. Исследование выявило существенное отставание российского ИТ-сектора от передовых стран в области внедрения и развития ИИ. Для оценки ситуации авторами проведен анализ ИТ-сектора РФ, рассмотрены особенности регионального распределения специалистов и инфраструктуры, а также подчеркнута необходимость создания устойчивой образовательной среды для подготовки ИИ-специалистов. Особое внимание уделяется важности обучения уже внедренных ИИ-систем и наращивания их функциональности в процессах планирования посредством машинного обучения новых поколений моделей. В статье подчеркнута критическая роль ИИ в цифровой трансформации бизнеса и необходимость активных действий для преодоления выявленных проблем в России.
В данной статье подробно анализируется влияние игровой индустрии в России на развитие малого и среднего предпринимательства (МСП). Рассматриваются как экономические, так и социальные, и технологические аспекты МСП в отрасли, вклад в инновационные решения, региональное развитие и формирование кадрового потенциала страны. Исследование основано на анализе актуальных данных, существующих научных работ и экспертных оценок в области экономики и информационных технологий в игровой индустрии. В исследовании уделено внимание государственным программам поддержки, международному сотрудничеству и перспективам развития отрасли в условиях конкуренции
В статье рассматриваются актуальные вопросы маркетинговой стратегии создания и использования персонального бренда для предпринимателей малого и среднего бизнеса. Предпринимательство занимает важное место в современной экономике. Предприниматель выступает как субъект хозяйственной деятельности, обладающий многогранным функционалом, который тесно связан не только с его предпринимательской деятельностью, но и с личностью в целом. На сегодняшний день в научной среде отсутствует общепринятое понятие персонального бренда предпринимателя, поэтому авторы исследуют данный феномен и предлагают свое авторское определение персонального (личного) бренда. В статье приводятся практические примеры использования личного бренда в управлении бизнесом, включая преимущества и ограничения его применения. Особое внимание уделяется использованию персонального бренда с точки зрения маркетинговой стратегии
В статье рассматриваются виды страхования наиболее распространенных предпринимательских рисков, позволяющих относительно безболезненно переносить возможный ущерб
В настоящее время продолжается активное развитие молодежного предпринимательства, являющегося ключевым фактором экономического роста региона. В статье представлены результаты исследования перспектив развития регионального молодежного предпринимательства на основе экосистемного подхода. Данный концептуальный подход предлагает ставку на формирование и развитие университетских предпринимательских экосистем, которые рассматриваются в качестве ключевого фактора активизации молодежного предпринимательства
В статье рассмотрен анализ чувствительности операционной прибыли к изменению двух факторов, который может быть использован для анализа последствий управленческих решений и позволит спрогнозировать варианты развития негативных ситуаций.
Проведенное исследование указывает, что АО «Башвтормет», ведущее предприятие республики в сфере сбора и переработки металлических отходов, располагает возможностями для роста и повышения своей конкурентоспособности на рынке черного металлолома. Однако в последние годы компания столкнулась со снижением рентабельности капитала, связанным с убытками, замедлением оборачиваемости активов и ухудшением структуры капитала. Цель исследования – выяснить, как улучшение логистики и увеличение объемов крупной оптовой заготовки лома черных металлов помогут достичь конкретных результатов и укрепить позиции компании в условиях растущей конкуренции. Результаты исследования ориентированы на реализацию предложенной ценовой политики и активное продвижение компании через маркетинговые инструменты, что позволит предприятию укрепить свои позиции на рынке заготовки и переработки металлолома
В статье обосновано, что в условиях межрегиональной дифференциации и ограниченного объема средств возрастает необходимость их рационального аккумулирования и распределения, поддержки реального сектора национальной экономики и внедрения механизмов повышения самодостаточности территории. Аргументировано, что одним из инструментов финансово-инвестиционного обеспечения потребностей и повышения самодостаточности экономики территории выступают институты развития. Разработана модель повышения самодостаточности региона с участием институтов развития. Предложены мероприятия по повышению самодостаточности территории
В статье отмечается, что Республика Башкортостан занимает лидирующие позиции по рейтингу социально-экономического положения субъектов. Установлено, что по итогам 2024 года регион занял 10-е место (63,64 балла) в рейтинге регионов Российской Федерации. Для повышения качества жизни населения и увеличения его доходов в целом особое внимание уделяется Евразийскому научнообразовательному центру (далее – Евразийский НОЦ) мирового уровня как драйверу развития и финансирования научно-технологического развития Республики Башкортостан. Миссия Евразийского НОЦ заключается в содействии достижению Республикой Башкортостан предпринимательского и научнотехнологического превосходства на федеральном уровне, а также реализации высокопродуктивных технологических решений на евразийском пространстве
Цель представленного исследования заключается в оценке цифрового потенциала регионов Российской Федерации, основанной на расчете индекса «цифровой зрелости» посредством использования ряда эконометрических моделей, с помощью которых коэффициенты проверяются на мультиколлинеарность. Проанализированы тенденции цифрового развития регионов, приведена сравнительная характеристика объемов финансирования регионов в соответствии с национальным проектом «Цифровая экономика», представлена динамика процентного соотношения использования цифровых платформ по округам РФ.
В статье, посвященной памяти доктора экономических наук, профессора, академика Академии наук Республики Башкортостан, заслуженного деятеля науки РФ и РБ Мазгара Насиповича Исянбаева, анализируются важные страницы его биографии и основные положения его научных трудов, посвященных региональной экономике, обосновываются перспективы их использования в современном региональном управлении с учетом новых реалий и глобальных вызовов современности. Выделены предложения и рекомендации по совершенствованию управления развитием комплексов экономики РФ (в частности, строительного, горнопромышленного, агропромышленного и других), отдельных групп отраслей и подотраслей экономики Башкортостана, в контексте необходимости повышения эффективности социально-экономического развития городов и районов региона. Отдельное внимание уделено анализу проблем и перспектив развития депрессивных юго- и северо-восточных районов Башкортостана
Цифровизация региона предполагает массовое внедрение цифровых технологий во все сферы экономики, что может оказывать как положительное, так и отрицательное влияние на региональное экономическое развитие. Большинстве исследователей к ключевым угрозам регионального экономического развития в условиях цифровизации относят риски безработицы и углубление межрегиональных дифференциаций. В статье проведен анализ влияния цифровизации на региональное экономическое развитие. Полученные результаты свидетельствуют о наличии связи между уровнем цифровизации и региональным экономическим развитием
В статье построены рейтинги регионов по эффективности систем здравоохранения, представляющие собой инструмент объективной оценки и сравнительного анализа работы субъектов РФ в этой сфере. Определены факторы эффективности региональных систем здравоохранения и количественно оценена степень их влияния
В статье проведен комплексный анализ стратегических направлений развития Арктической зоны Российской Федерации. Автором показано, что Арктика, обладая значительными энергетическими, биологическими и минеральными ресурсами, играет ключевую роль в обеспечении национальной безопасности, энергетической и продовольственной независимости страны. Рассмотрены возможности формирования единой транспортно-логистической сети вдоль Северного морского пути, что предполагает развитие портовой инфраструктуры, железнодорожных и автомобильных коридоров, а также создание международных транспортных хабов. Особое внимание уделено анализу мультипликативного экономического эффекта инвестиций в объекты логистической инфраструктуры, который обусловлен синергией между различными элементами системы. В статье обоснована необходимость комплексного и координированного подхода к реализации стратегических проектов в Арктике, что подтверждается государственными инициативами и нормативно-правовыми документами.
Данная статья посвящена изучению банков как основного сегмента финансового сектора экономики. На основе анализа количественных показателей, характеризующих кредитные организации, определены тенденции, характерные для современного банковского бизнеса. Выявлены признаки продолжающихся процессов укрупнения и консолидации российских банков за период с 2020 по 2025 г., а также основные факторы, способствующие уходу с рынка мелких банков. Определены преимущества и негативные стороны расширения сферы деятельности и дальнейшего развития крупных кредитных организаций, снижения роли малых и средних банков
В статье представлены результаты проведённого авторами исследования туристического позиционирования российских регионов. Отечественные практики туристического позиционирования рассмотрены в концептуальном контексте глобального экспертного дискурса по проблематике территориального брендинга. С учётом накопленного международного опыта оценивается использование стратегий и технологий территориального брендинга российских городов
Актуальность введения инструментария государственной научно-технологической политики с целью таргетирования инвестиционной инфляции в России заключается в введении новой главы в инвестиционных проектах о головной научной организации и соглашении о передаче внедряемых нематериальных активов (далее – НМА) и ноу-хау в научные организации и вузы. Данный инструмент призван, на основе механизмов государственно-частного партнерства (далее – ГЧП), обеспечить дополнительное финансирование фундаментальных и прикладных научных исследований для получения объектов интеллектуальной собственности (далее – ОИС) совершенствующего НМА проекта. Цель исследования – выявить возможности внедрения дополнительного инструментария ограничения инвестиционной инфляции через активизацию научно-технологической государственной политики
В статье с использованием статистических методов анализа данных приведена оценка экономического вклада крупных компаний в региональное развитие. Установлена высокая концентрация экономической деятельности в ведущих регионах страны среди крупных компаний. Наряду с выявленными положительными аспектами влияния крупных компаний на регионы их присутствия, среди которых обеспечение занятости населения региона, экономический, инвестиционный и бюджетный вклады, отмечены и дискуссионные, в том числе выражающиеся в том, что деятельность крупного бизнеса в региональной экономике ведет к неравномерности пространственного экономического развития. На примере одного из репрезентативных субъектов Российской Федерации – Республики Башкортостан – оценен вклад крупнейших компаний региона в социально-экономическое развитие
Издательство
- Издательство
- БАГСУ
- Регион
- Россия, Уфа
- Почтовый адрес
- 450008, Респ Башкортостан, г Уфа, Кировский р-н, ул Заки Валиди, д 40
- Юр. адрес
- 450008, Респ Башкортостан, г Уфа, Кировский р-н, ул Заки Валиди, д 40
- ФИО
- Абдрахманов Данияр Мавлиярович (РЕКТОР)
- E-mail адрес
- bagsu@bagsurb.ru
- Контактный телефон
- +8 (347) 2721077
- Сайт
- https://bagsurb.ru
 
                             
                             
                             
                             
                             
                             
                             
                     
                             
                             
                             
                             
                             
                             
                             
                             
                             
                             
                             
                             
                             
                             
                             
                             
                             
                             
                             
                             
                             
                             
                             
                             
                             
                            